mp-6873-2/CaAlSiO4F/anharm

Equation of state

../../_images/fig_bm3272.png

(a) Equation of state

Harmonic properties

../../_images/fig_bandos_pr6203.png

(a) Phonon dispersion with participation ratio and DOS

../../_images/fig_thermo6203.png

(b) Thermodynamic properties

Grüneisen parameters

../../_images/fig_gru_all2519.png

(a) Grüneisen parameters

../../_images/fig_gruneisen2519.png

(b) Phonon dispersion with Grüneisen parameters

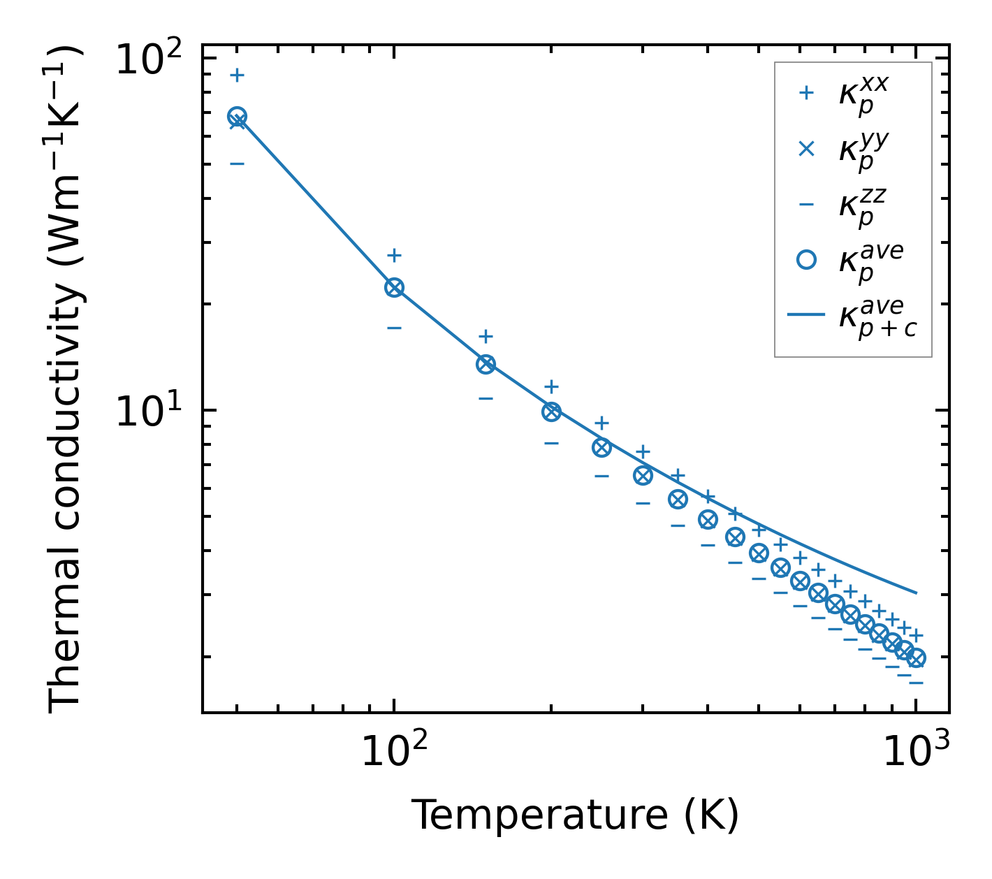
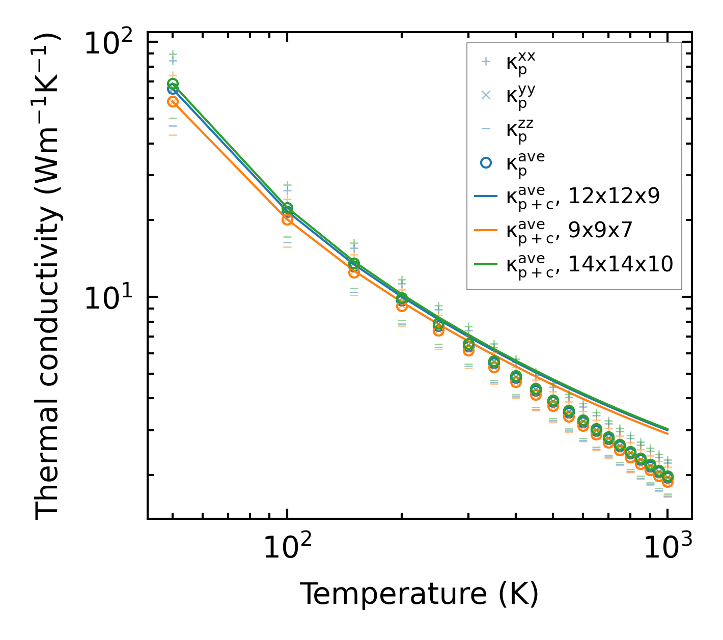
Thermal conductivity

3-phonon (LASSO) — q-mesh: 14x14x10, supercell: 2x1x2

../../_images/fig_kappa4791.png

(a) Temperature-dependent lattice thermal conductivity

../../_images/fig_kappa_vs_grain_size2552.png

(b) Peierls lattice thermal conductivity w.r.t grain size

Phonon lifetime and scattering rates

../../_images/fig_lifetime2501.png

(a) Phonon lifetime due to phonon-phonon scattering

../../_images/fig_scat_rates2500.png

(b) Phonon scattering rates

Cumulative and spectral thermal conductivity

../../_images/fig_cumu_frequency2501.png

(a) Spectral and cumulative thermal conductivity w.r.t frequency

../../_images/fig_cumu_mfp2500.png

(b) Spectral and cumulative thermal conductivity w.r.t MFP

Force constants

../../_images/fig_fc25994.png

(a) Force constants w.r.t atomic distance

Summary

../../_images/fig_kappa4792.png

(a) Temperature-dependent lattice thermal conductivity

../../_images/fig_times11282.png

(b) Computation time