mp-6166/PrCuSO/anharm

Harmonic properties

../../_images/fig_bandos_pr6288.png

(a) Phonon dispersion with participation ratio and DOS

../../_images/fig_thermo6288.png

(b) Thermodynamic properties

Grüneisen parameters

../../_images/fig_gru_all2566.png

(a) Grüneisen parameters

../../_images/fig_gruneisen2566.png

(b) Phonon dispersion with Grüneisen parameters

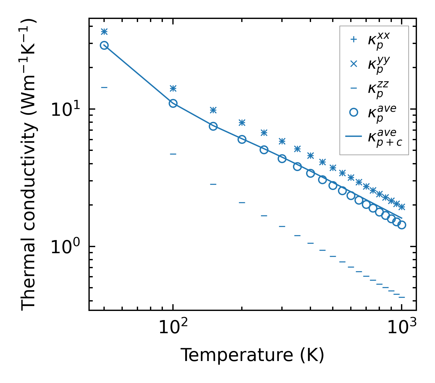
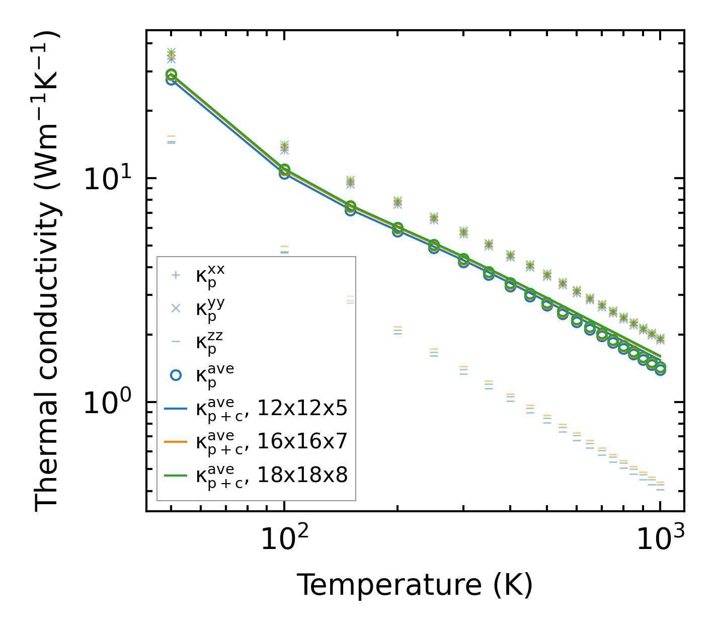
Thermal conductivity

3-phonon (LASSO) — q-mesh: 18x18x8, supercell: 3x3x2

../../_images/fig_kappa4882.png

(a) Temperature-dependent lattice thermal conductivity

../../_images/fig_kappa_vs_grain_size2601.png

(b) Peierls lattice thermal conductivity w.r.t grain size

Phonon lifetime and scattering rates

../../_images/fig_lifetime2547.png

(a) Phonon lifetime due to phonon-phonon scattering

../../_images/fig_scat_rates2546.png

(b) Phonon scattering rates

Cumulative and spectral thermal conductivity

../../_images/fig_cumu_frequency2547.png

(a) Spectral and cumulative thermal conductivity w.r.t frequency

../../_images/fig_cumu_mfp2546.png

(b) Spectral and cumulative thermal conductivity w.r.t MFP

Force constants

../../_images/fig_fc26078.png

(a) Force constants w.r.t atomic distance

Summary

../../_images/fig_kappa4883.png

(a) Temperature-dependent lattice thermal conductivity

../../_images/fig_times11404.png

(b) Computation time