mp-6573/CoAg3C6N6/anharm

Harmonic properties

../../_images/fig_bandos_pr6471.png

(a) Phonon dispersion with participation ratio and DOS

../../_images/fig_thermo6471.png

(b) Thermodynamic properties

Grüneisen parameters

../../_images/fig_gru_all2641.png

(a) Grüneisen parameters

../../_images/fig_gruneisen2641.png

(b) Phonon dispersion with Grüneisen parameters

Thermal conductivity

3-phonon (LASSO) — q-mesh: 11x11x10, supercell: 2x2x2

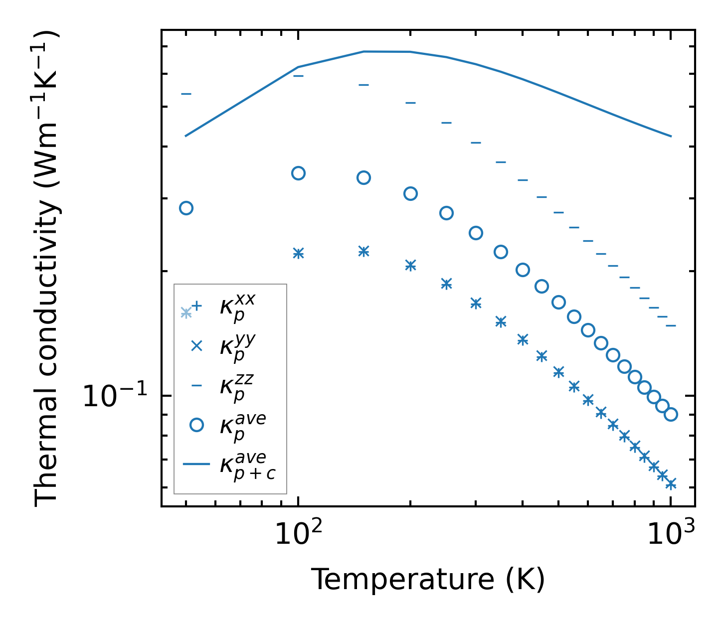
../../_images/fig_kappa5020.png

(a) Temperature-dependent lattice thermal conductivity

../../_images/fig_kappa_vs_grain_size2677.png

(b) Peierls lattice thermal conductivity w.r.t grain size

Phonon lifetime and scattering rates

../../_images/fig_lifetime2619.png

(a) Phonon lifetime due to phonon-phonon scattering

../../_images/fig_scat_rates2618.png

(b) Phonon scattering rates

Cumulative and spectral thermal conductivity

../../_images/fig_cumu_frequency2619.png

(a) Spectral and cumulative thermal conductivity w.r.t frequency

../../_images/fig_cumu_mfp2618.png

(b) Spectral and cumulative thermal conductivity w.r.t MFP

Force constants

../../_images/fig_fc26261.png

(a) Force constants w.r.t atomic distance

Summary

../../_images/fig_kappa5021.png

(a) Temperature-dependent lattice thermal conductivity

../../_images/fig_times11641.png

(b) Computation time