mp-6660-2/BaNaBO3/anharm

Equation of state

../../_images/fig_bm3219.png

(a) Equation of state

Harmonic properties

../../_images/fig_bandos_pr6110.png

(a) Phonon dispersion with participation ratio and DOS

../../_images/fig_thermo6110.png

(b) Thermodynamic properties

Grüneisen parameters

../../_images/fig_gru_all2481.png

(a) Grüneisen parameters

../../_images/fig_gruneisen2481.png

(b) Phonon dispersion with Grüneisen parameters

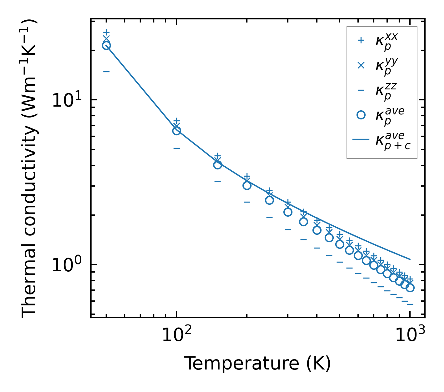
Thermal conductivity

3-phonon (LASSO) — q-mesh: 13x13x12, supercell: 1x2x2

../../_images/fig_kappa4720.png

(a) Temperature-dependent lattice thermal conductivity

../../_images/fig_kappa_vs_grain_size2511.png

(b) Peierls lattice thermal conductivity w.r.t grain size

Phonon lifetime and scattering rates

../../_images/fig_lifetime2463.png

(a) Phonon lifetime due to phonon-phonon scattering

../../_images/fig_scat_rates2462.png

(b) Phonon scattering rates

Cumulative and spectral thermal conductivity

../../_images/fig_cumu_frequency2463.png

(a) Spectral and cumulative thermal conductivity w.r.t frequency

../../_images/fig_cumu_mfp2462.png

(b) Spectral and cumulative thermal conductivity w.r.t MFP

Force constants

../../_images/fig_fc25901.png

(a) Force constants w.r.t atomic distance

Summary

../../_images/fig_kappa4721.png

(a) Temperature-dependent lattice thermal conductivity

../../_images/fig_times11161.png

(b) Computation time