mp-6872-2/K3SiNO3F6/anharm

Equation of state

../../_images/fig_bm3271.png

(a) Equation of state

Harmonic properties

../../_images/fig_bandos_pr6201.png

(a) Phonon dispersion with participation ratio and DOS

../../_images/fig_thermo6201.png

(b) Thermodynamic properties

Grüneisen parameters

../../_images/fig_gru_all2518.png

(a) Grüneisen parameters

../../_images/fig_gruneisen2518.png

(b) Phonon dispersion with Grüneisen parameters

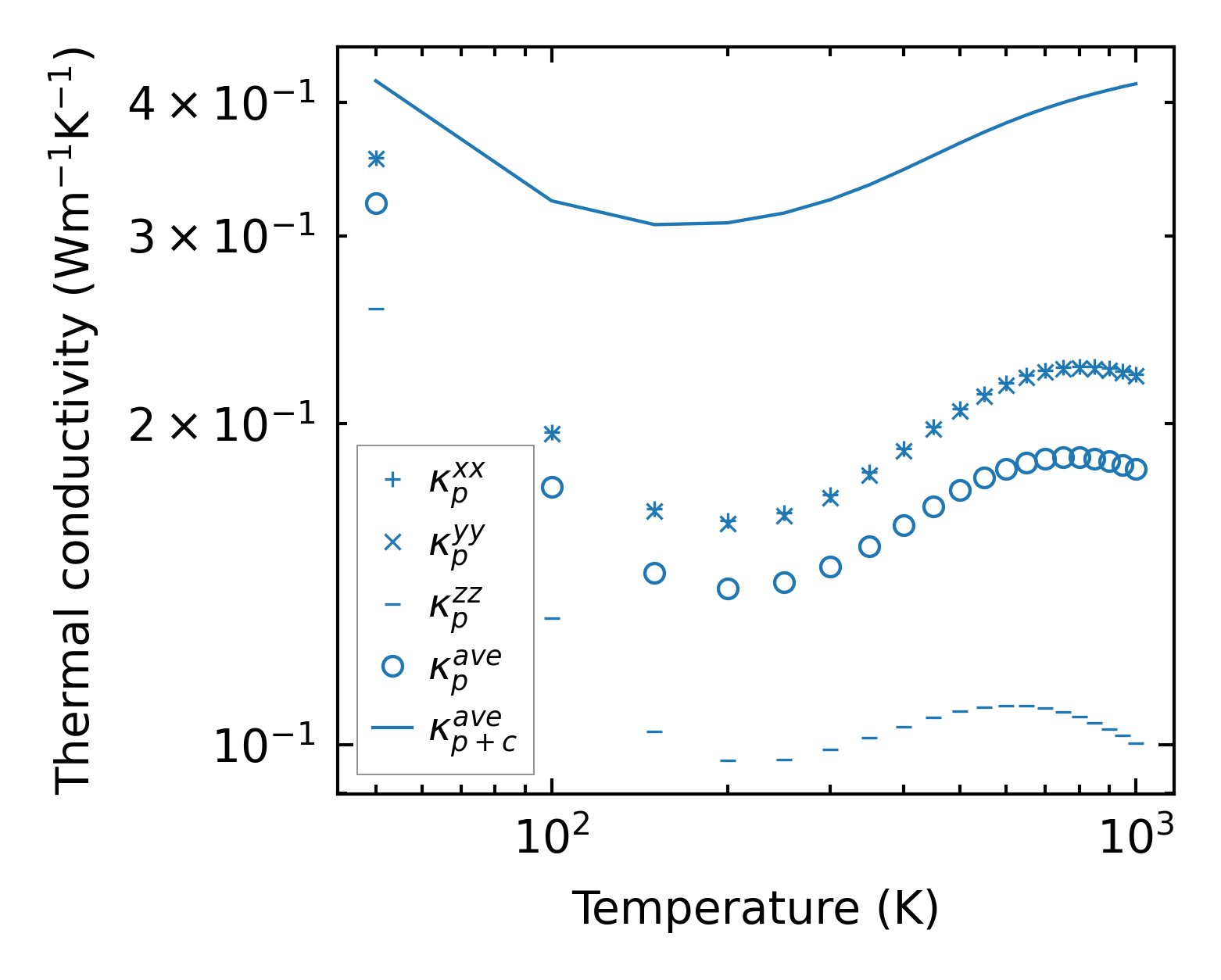
Thermal conductivity

3-phonon (LASSO) — q-mesh: 13x13x5, supercell: 2x2x1

../../_images/fig_kappa4789.png

(a) Temperature-dependent lattice thermal conductivity

../../_images/fig_kappa_vs_grain_size2551.png

(b) Peierls lattice thermal conductivity w.r.t grain size

Phonon lifetime and scattering rates

../../_images/fig_lifetime2500.png

(a) Phonon lifetime due to phonon-phonon scattering

../../_images/fig_scat_rates2499.png

(b) Phonon scattering rates

Cumulative and spectral thermal conductivity

../../_images/fig_cumu_frequency2500.png

(a) Spectral and cumulative thermal conductivity w.r.t frequency

../../_images/fig_cumu_mfp2499.png

(b) Spectral and cumulative thermal conductivity w.r.t MFP

Force constants

../../_images/fig_fc25992.png

(a) Force constants w.r.t atomic distance

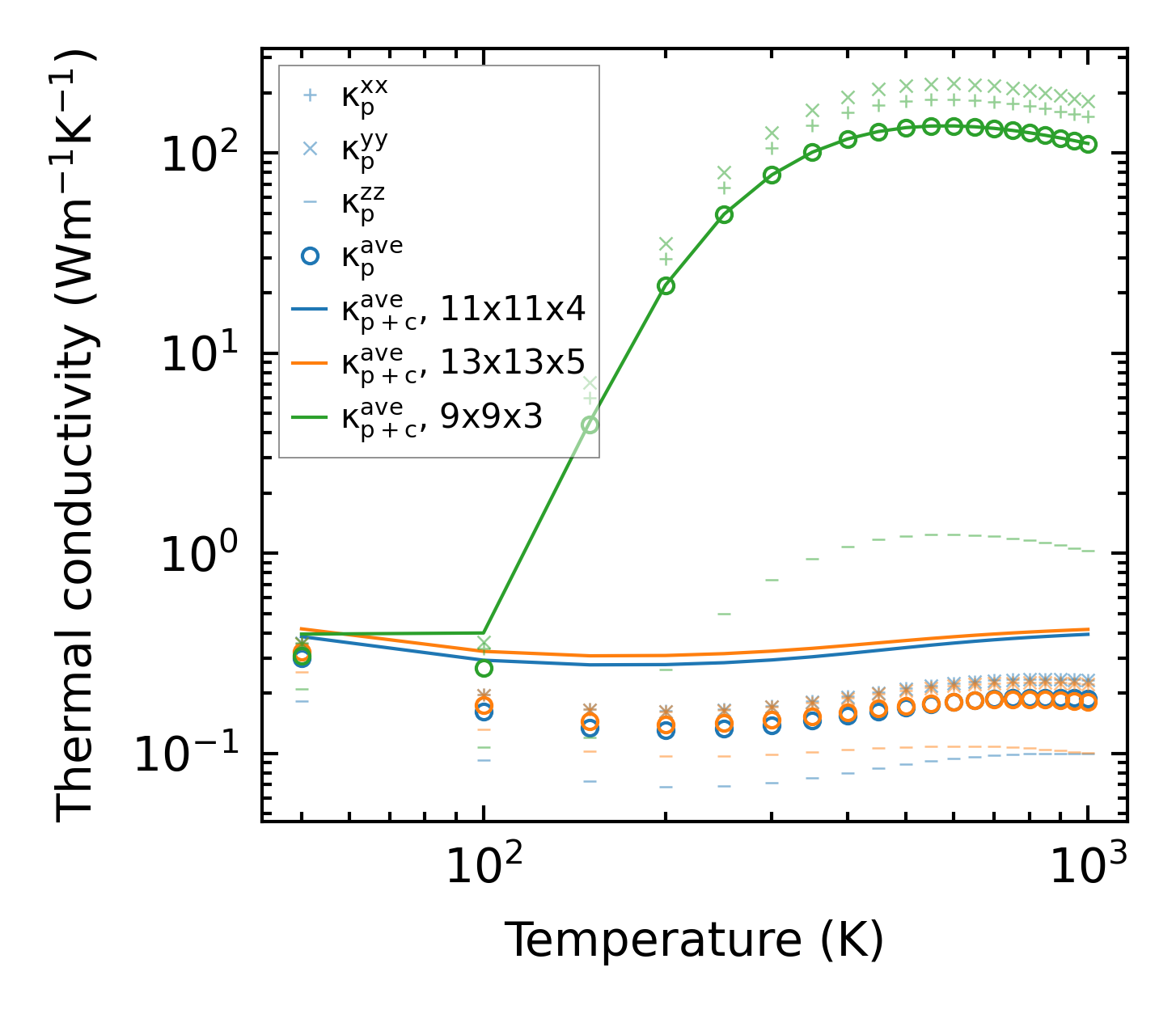
Summary

../../_images/fig_kappa4790.png

(a) Temperature-dependent lattice thermal conductivity

../../_images/fig_times11280.png

(b) Computation time