mp-6799-2/LiCa4B3N6/anharm

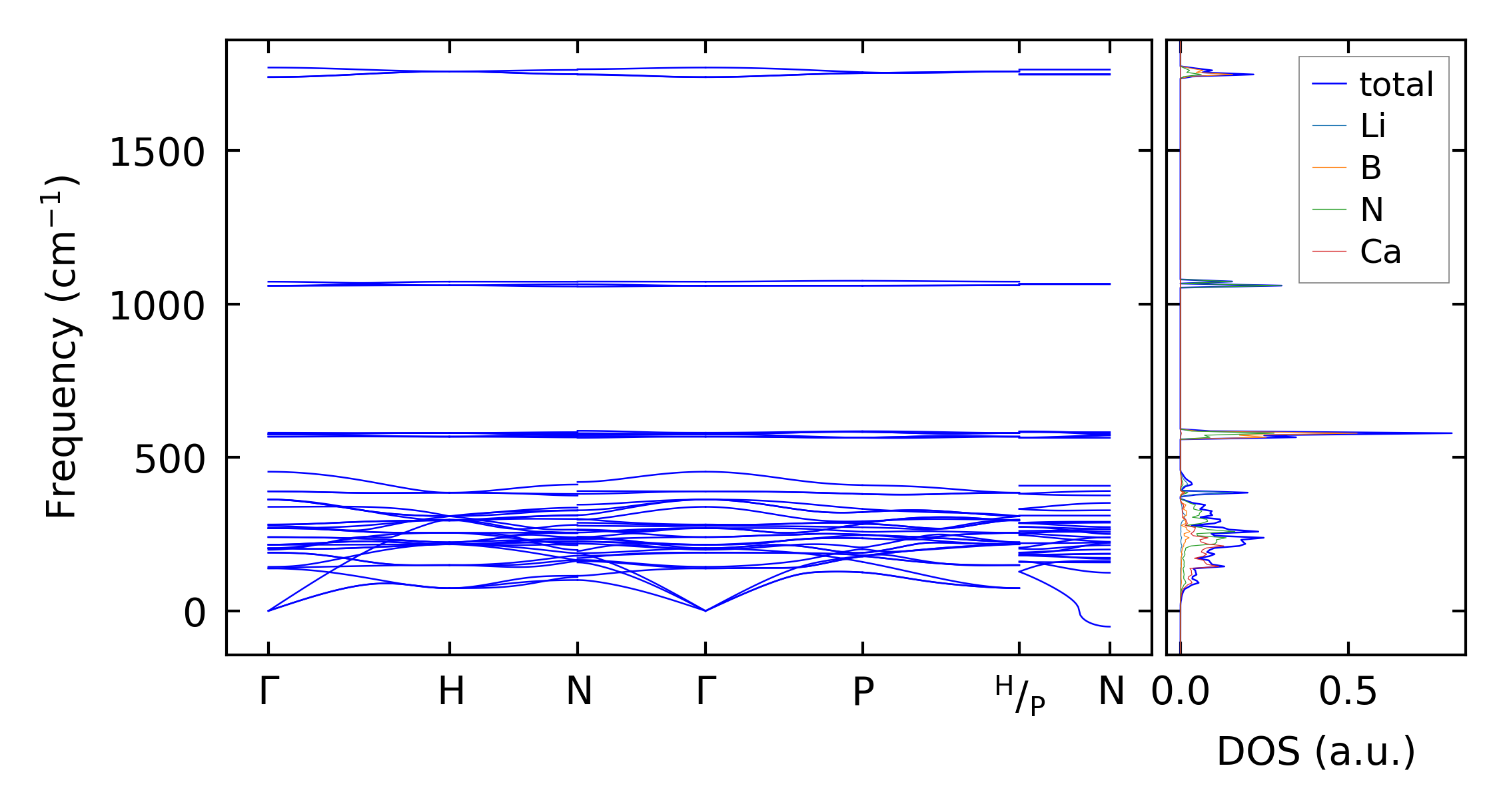
Harmonic properties

../../_images/fig_bandos_pr6171.png

(a) Phonon dispersion with participation ratio and DOS

../../_images/fig_bandos9043.png

(b) Phonon dispersion and DOS

../../_images/fig_thermo6171.png

(c) Thermodynamic properties

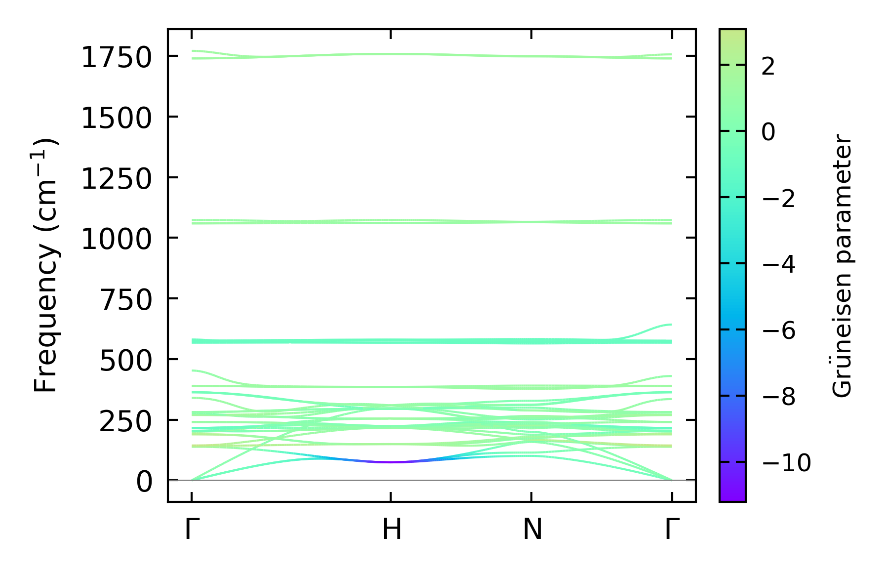
Grüneisen parameters

../../_images/fig_gru_all2505.png

(a) Grüneisen parameters

../../_images/fig_gruneisen2505.png

(b) Phonon dispersion with Grüneisen parameters

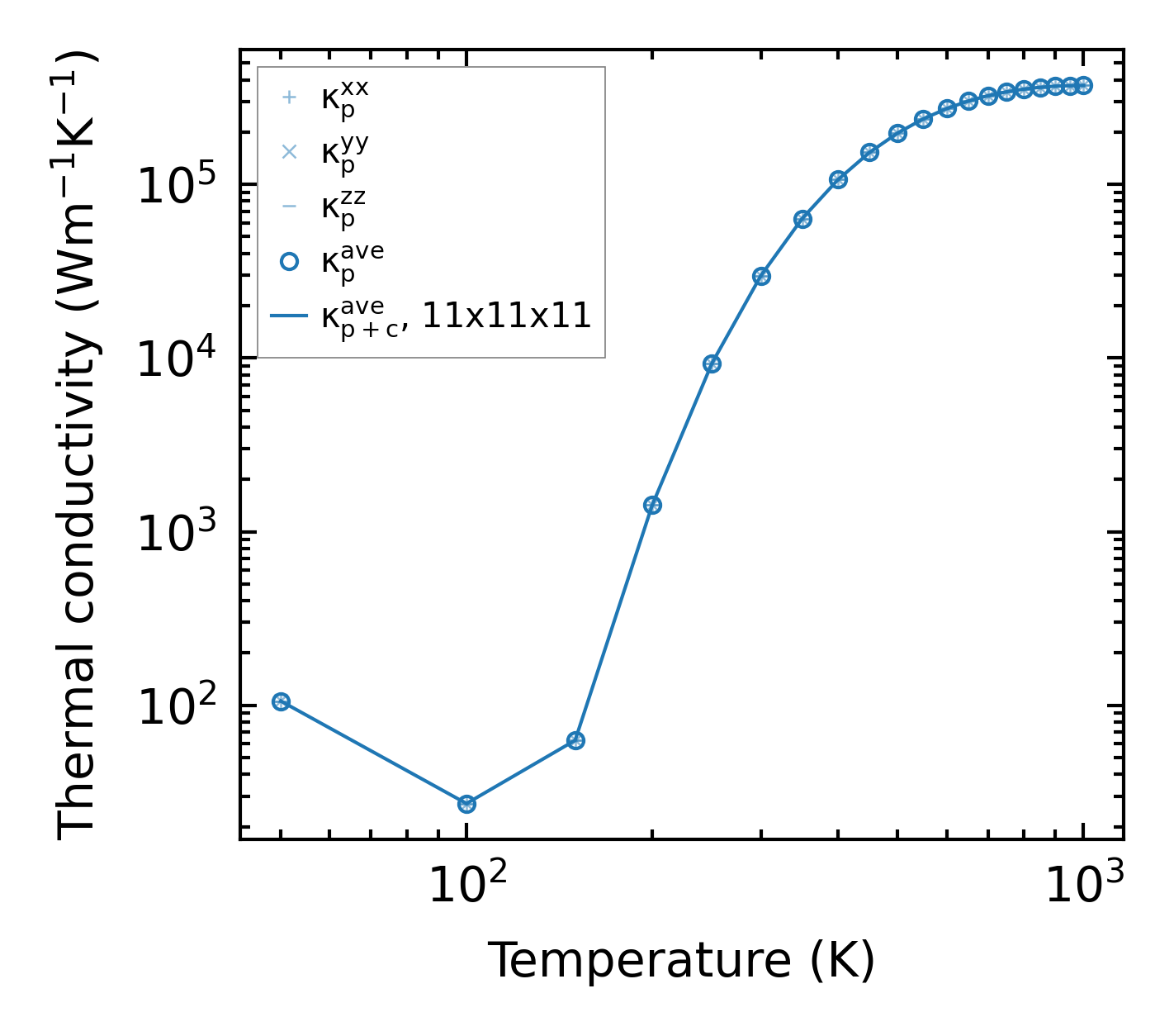
Thermal conductivity

3-phonon (LASSO) — q-mesh: 12x12x12, supercell: 1x1x1

../../_images/fig_kappa4765.png

(a) Temperature-dependent lattice thermal conductivity

../../_images/fig_kappa_vs_grain_size2537.png

(b) Peierls lattice thermal conductivity w.r.t grain size

Phonon lifetime and scattering rates

../../_images/fig_lifetime2487.png

(a) Phonon lifetime due to phonon-phonon scattering

../../_images/fig_scat_rates2486.png

(b) Phonon scattering rates

Cumulative and spectral thermal conductivity

../../_images/fig_cumu_frequency2487.png

(a) Spectral and cumulative thermal conductivity w.r.t frequency

../../_images/fig_cumu_mfp2486.png

(b) Spectral and cumulative thermal conductivity w.r.t MFP

Force constants

../../_images/fig_fc25962.png

(a) Force constants w.r.t atomic distance

Summary

../../_images/fig_kappa4766.png

(a) Temperature-dependent lattice thermal conductivity

../../_images/fig_times11247.png

(b) Computation time