mp-6138/Na2TiSiO5/anharm

Harmonic properties

../../_images/fig_bandos_pr6279.png

(a) Phonon dispersion with participation ratio and DOS

../../_images/fig_thermo6279.png

(b) Thermodynamic properties

Grüneisen parameters

../../_images/fig_gru_all2561.png

(a) Grüneisen parameters

../../_images/fig_gruneisen2561.png

(b) Phonon dispersion with Grüneisen parameters

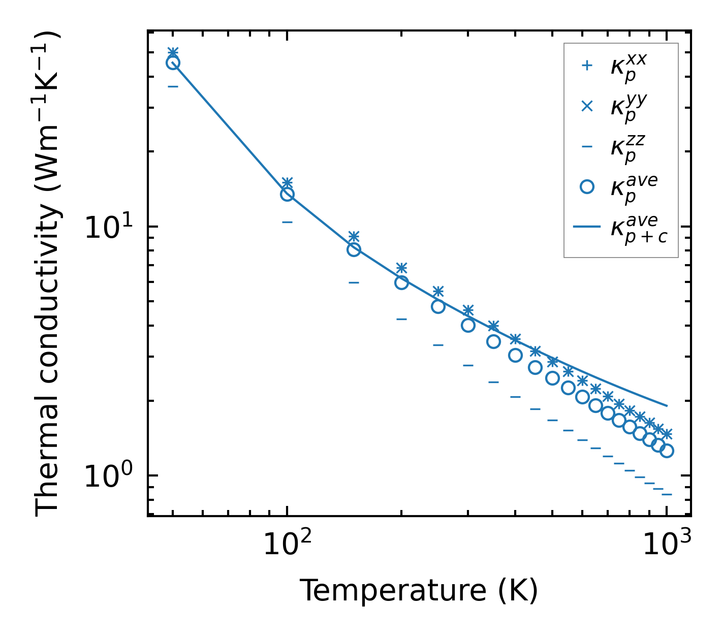
Thermal conductivity

3-phonon (LASSO) — q-mesh: 11x11x14, supercell: 2x2x2

../../_images/fig_kappa4872.png

(a) Temperature-dependent lattice thermal conductivity

../../_images/fig_kappa_vs_grain_size2595.png

(b) Peierls lattice thermal conductivity w.r.t grain size

Phonon lifetime and scattering rates

../../_images/fig_lifetime2542.png

(a) Phonon lifetime due to phonon-phonon scattering

../../_images/fig_scat_rates2541.png

(b) Phonon scattering rates

Cumulative and spectral thermal conductivity

../../_images/fig_cumu_frequency2542.png

(a) Spectral and cumulative thermal conductivity w.r.t frequency

../../_images/fig_cumu_mfp2541.png

(b) Spectral and cumulative thermal conductivity w.r.t MFP

Force constants

../../_images/fig_fc26069.png

(a) Force constants w.r.t atomic distance

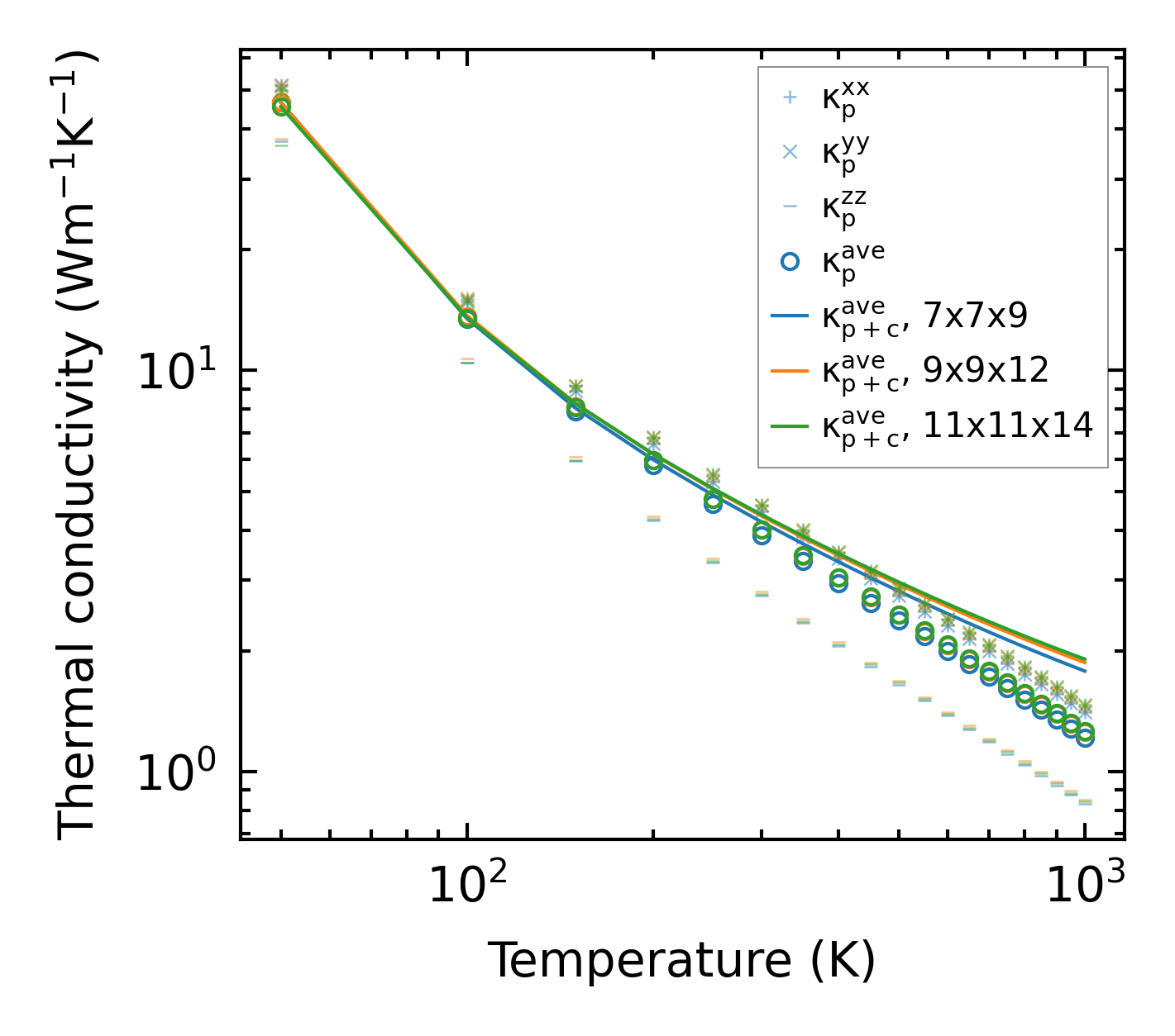
Summary

../../_images/fig_kappa4873.png

(a) Temperature-dependent lattice thermal conductivity

../../_images/fig_times11393.png

(b) Computation time