mp-6476/Ag3SeNO3/harm

Harmonic properties

../../_images/fig_bandos_pr6433.png

(a) Phonon dispersion with participation ratio and DOS

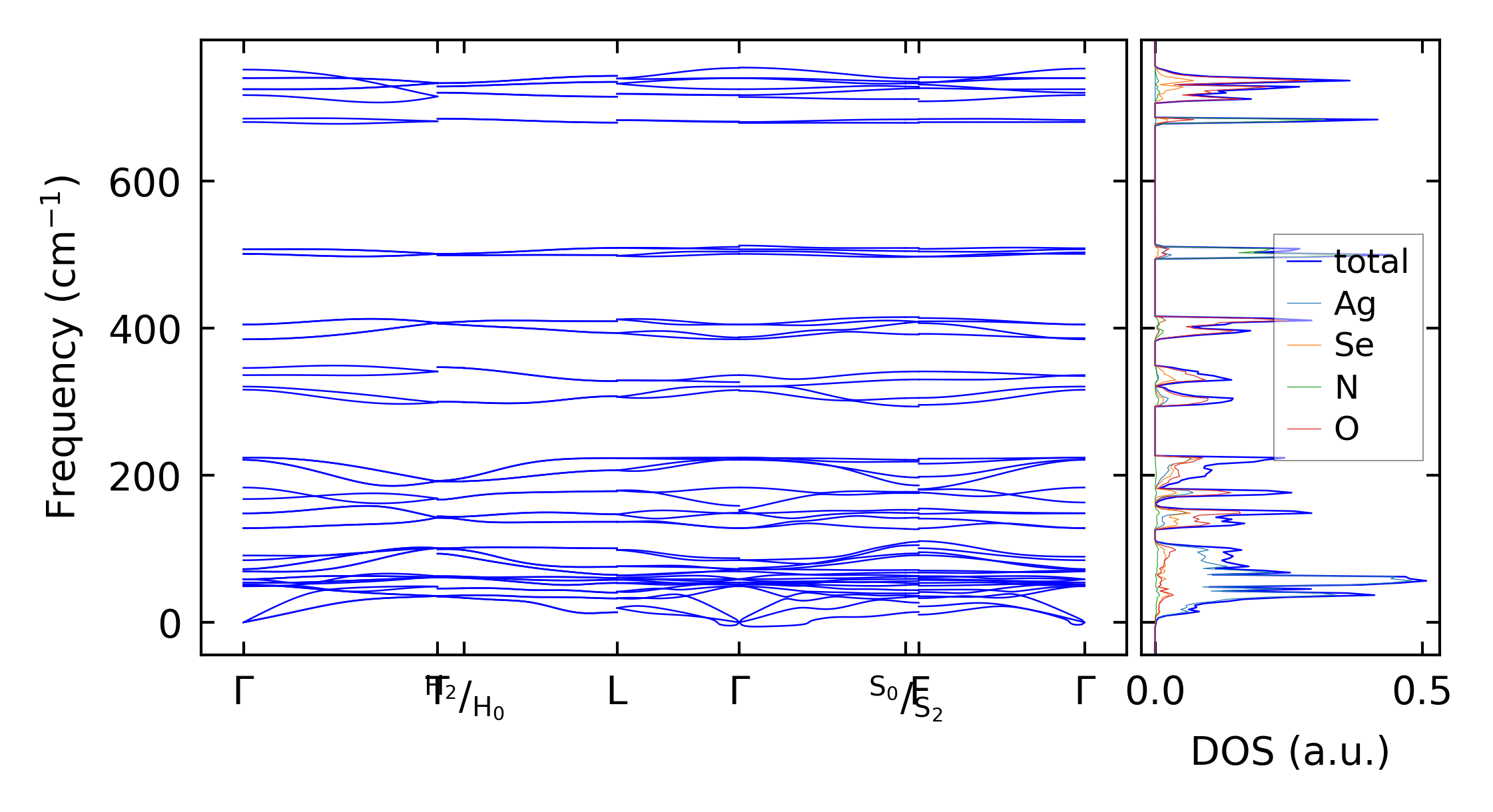
../../_images/fig_bandos9277.png

(b) Phonon dispersion and DOS

../../_images/fig_thermo6433.png

(c) Thermodynamic properties

Force constants

../../_images/fig_fc26223.png

(a) Force constants w.r.t atomic distance

Summary

../../_images/fig_times11581.png

(a) Computation time