mp-6694/Cs2ZrSi3O9/anharm

Equation of state

../../_images/fig_bm3231.png

(a) Equation of state

Harmonic properties

../../_images/fig_bandos_pr6126.png

(a) Phonon dispersion with participation ratio and DOS

../../_images/fig_thermo6126.png

(b) Thermodynamic properties

Grüneisen parameters

../../_images/fig_gru_all2487.png

(a) Grüneisen parameters

../../_images/fig_gruneisen2487.png

(b) Phonon dispersion with Grüneisen parameters

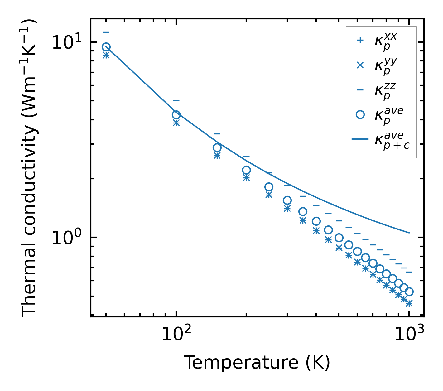
Thermal conductivity

3-phonon (LASSO) — q-mesh: 10x10x7, supercell: 2x2x1

../../_images/fig_kappa4732.png

(a) Temperature-dependent lattice thermal conductivity

../../_images/fig_kappa_vs_grain_size2517.png

(b) Peierls lattice thermal conductivity w.r.t grain size

Phonon lifetime and scattering rates

../../_images/fig_lifetime2469.png

(a) Phonon lifetime due to phonon-phonon scattering

../../_images/fig_scat_rates2468.png

(b) Phonon scattering rates

Cumulative and spectral thermal conductivity

../../_images/fig_cumu_frequency2469.png

(a) Spectral and cumulative thermal conductivity w.r.t frequency

../../_images/fig_cumu_mfp2468.png

(b) Spectral and cumulative thermal conductivity w.r.t MFP

Force constants

../../_images/fig_fc25917.png

(a) Force constants w.r.t atomic distance

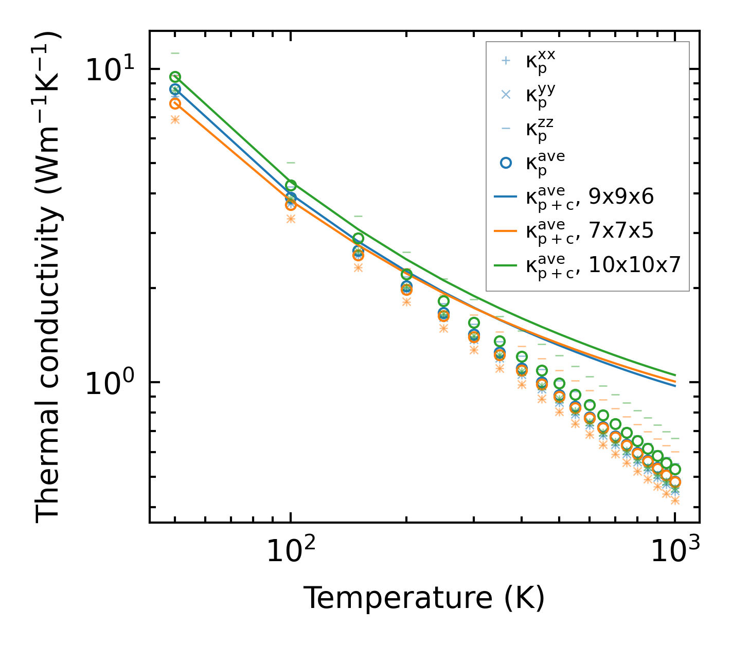
Summary

../../_images/fig_kappa4733.png

(a) Temperature-dependent lattice thermal conductivity

../../_images/fig_times11183.png

(b) Computation time