mp-6557/Cs2PO3F/anharm

Harmonic properties

../../_images/fig_bandos_pr6466.png

(a) Phonon dispersion with participation ratio and DOS

../../_images/fig_thermo6466.png

(b) Thermodynamic properties

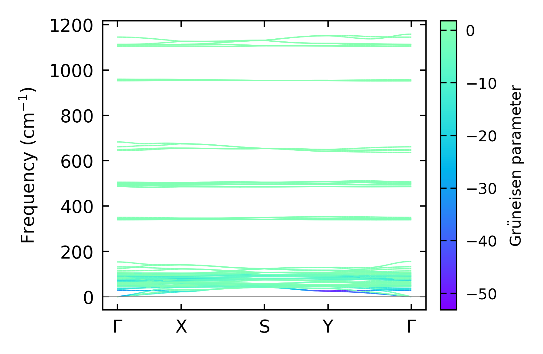
Grüneisen parameters

../../_images/fig_gru_all2639.png

(a) Grüneisen parameters

../../_images/fig_gruneisen2639.png

(b) Phonon dispersion with Grüneisen parameters

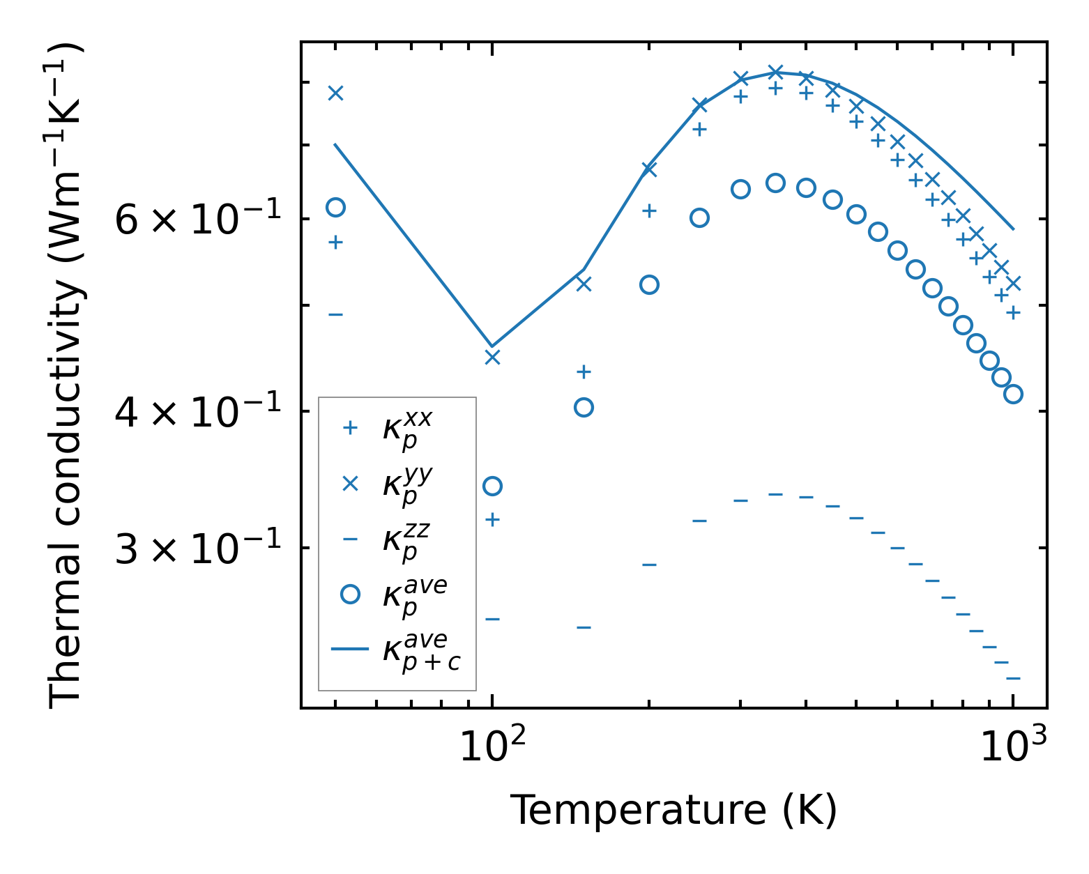
Thermal conductivity

3-phonon (LASSO) — q-mesh: 8x11x6, supercell: 2x2x1

../../_images/fig_kappa5017.png

(a) Temperature-dependent lattice thermal conductivity

../../_images/fig_kappa_vs_grain_size2675.png

(b) Peierls lattice thermal conductivity w.r.t grain size

Phonon lifetime and scattering rates

../../_images/fig_lifetime2617.png

(a) Phonon lifetime due to phonon-phonon scattering

../../_images/fig_scat_rates2616.png

(b) Phonon scattering rates

Cumulative and spectral thermal conductivity

../../_images/fig_cumu_frequency2617.png

(a) Spectral and cumulative thermal conductivity w.r.t frequency

../../_images/fig_cumu_mfp2616.png

(b) Spectral and cumulative thermal conductivity w.r.t MFP

Force constants

../../_images/fig_fc26256.png

(a) Force constants w.r.t atomic distance

Summary

../../_images/fig_kappa5018.png

(a) Temperature-dependent lattice thermal conductivity

../../_images/fig_times11628.png

(b) Computation time