mp-6586-2/K2NaAlF6/anharm

Equation of state

../../_images/fig_bm3433.png

(a) Equation of state

Harmonic properties

../../_images/fig_bandos_pr6478.png

(a) Phonon dispersion with participation ratio and DOS

../../_images/fig_thermo6478.png

(b) Thermodynamic properties

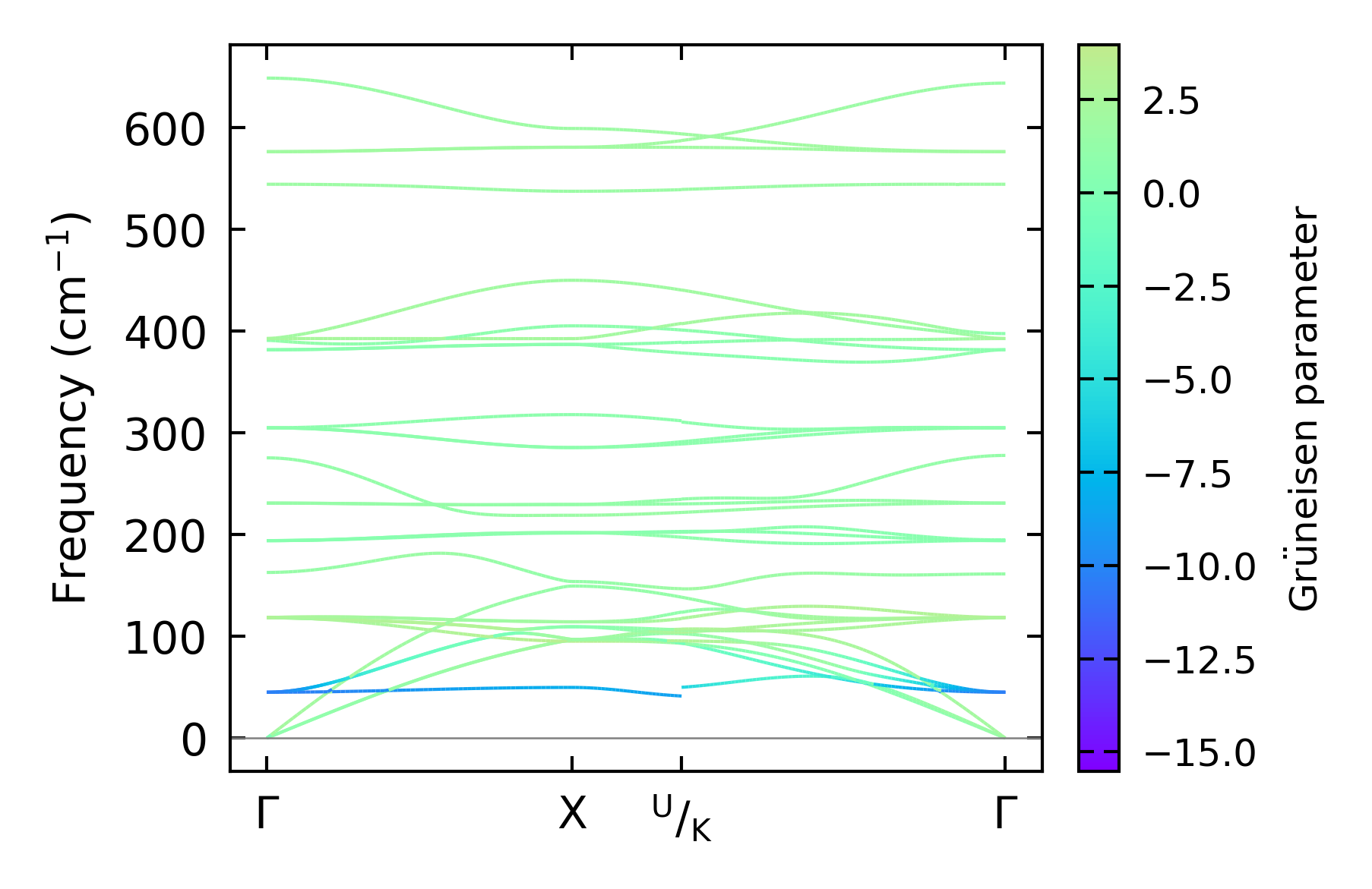
Grüneisen parameters

../../_images/fig_gru_all2645.png

(a) Grüneisen parameters

../../_images/fig_gruneisen2645.png

(b) Phonon dispersion with Grüneisen parameters

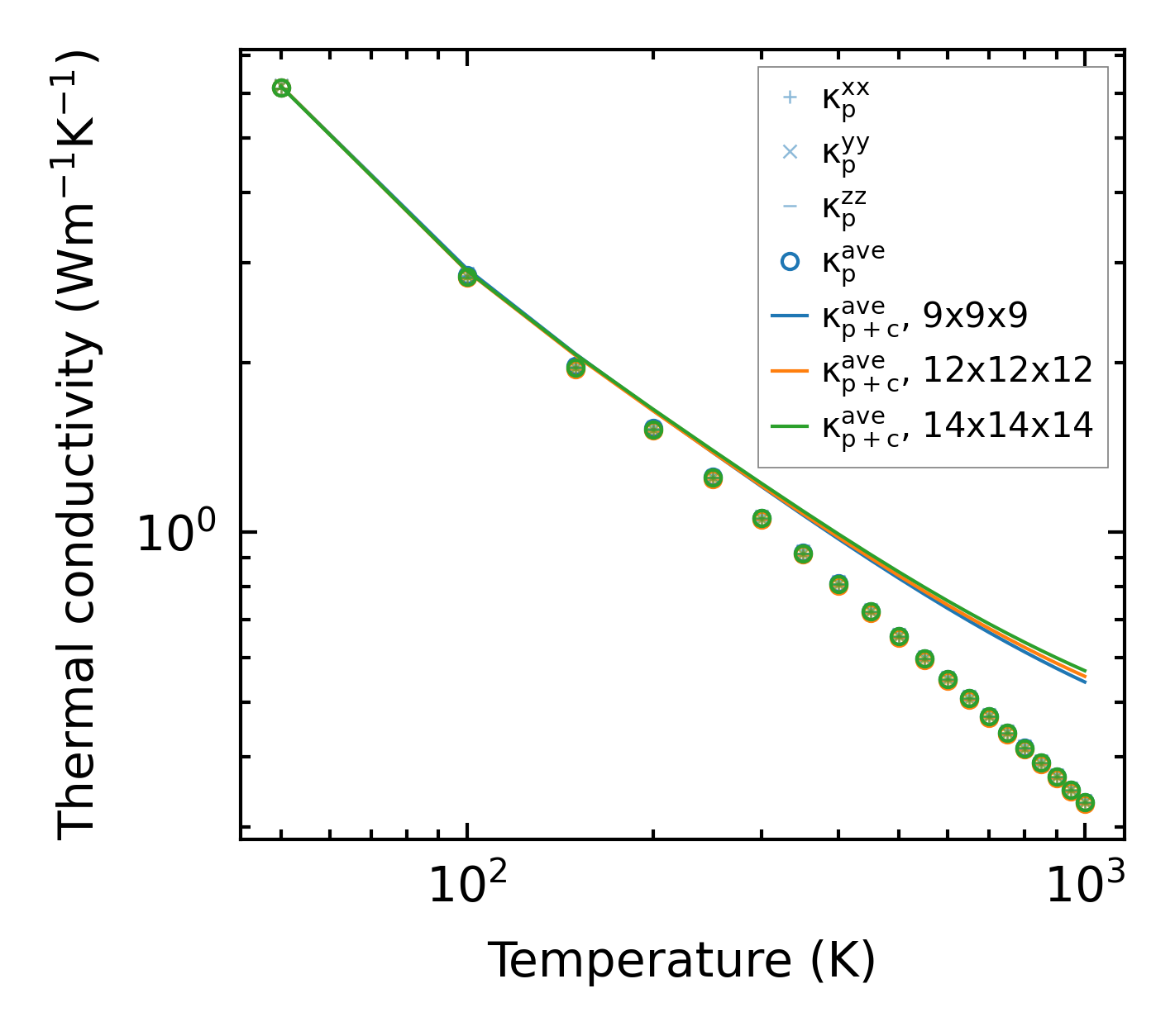
Thermal conductivity

3-phonon (LASSO) — q-mesh: 14x14x14, supercell: 1x1x1

../../_images/fig_kappa5028.png

(a) Temperature-dependent lattice thermal conductivity

../../_images/fig_kappa_vs_grain_size2681.png

(b) Peierls lattice thermal conductivity w.r.t grain size

Phonon lifetime and scattering rates

../../_images/fig_lifetime2622.png

(a) Phonon lifetime due to phonon-phonon scattering

../../_images/fig_scat_rates2621.png

(b) Phonon scattering rates

Cumulative and spectral thermal conductivity

../../_images/fig_cumu_frequency2622.png

(a) Spectral and cumulative thermal conductivity w.r.t frequency

../../_images/fig_cumu_mfp2621.png

(b) Spectral and cumulative thermal conductivity w.r.t MFP

Force constants

../../_images/fig_fc26268.png

(a) Force constants w.r.t atomic distance

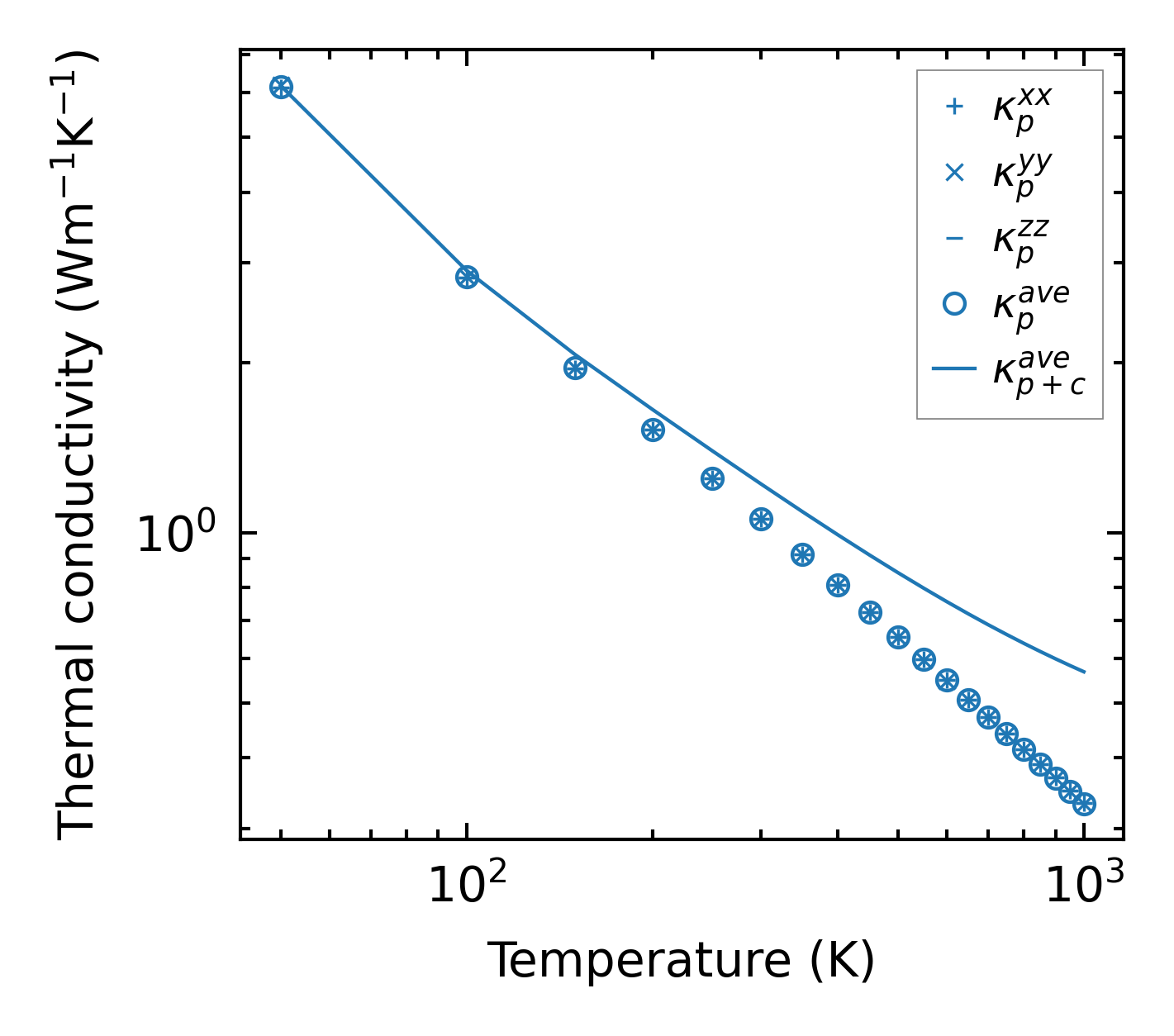
Summary

../../_images/fig_kappa5029.png

(a) Temperature-dependent lattice thermal conductivity

../../_images/fig_times11648.png

(b) Computation time