mp-6054-2/Ba5Tm8Zn4O21/anharm

Harmonic properties

../../_images/fig_bandos_pr6610.png

(a) Phonon dispersion with participation ratio and DOS

../../_images/fig_thermo6610.png

(b) Thermodynamic properties

Grüneisen parameters

../../_images/fig_gru_all2695.png

(a) Grüneisen parameters

../../_images/fig_gruneisen2695.png

(b) Phonon dispersion with Grüneisen parameters

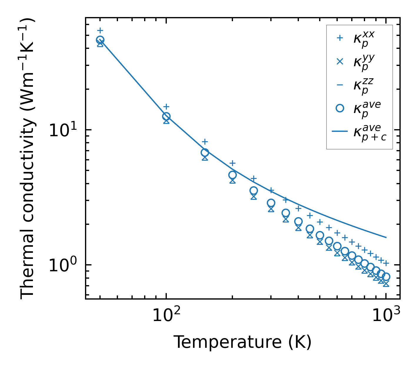
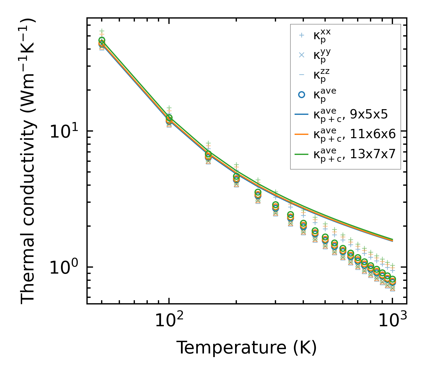
Thermal conductivity

3-phonon (LASSO) — q-mesh: 13x7x7, supercell: 2x1x1

../../_images/fig_kappa5123.png

(a) Temperature-dependent lattice thermal conductivity

../../_images/fig_kappa_vs_grain_size2734.png

(b) Peierls lattice thermal conductivity w.r.t grain size

Phonon lifetime and scattering rates

../../_images/fig_lifetime2671.png

(a) Phonon lifetime due to phonon-phonon scattering

../../_images/fig_scat_rates2670.png

(b) Phonon scattering rates

Cumulative and spectral thermal conductivity

../../_images/fig_cumu_frequency2671.png

(a) Spectral and cumulative thermal conductivity w.r.t frequency

../../_images/fig_cumu_mfp2670.png

(b) Spectral and cumulative thermal conductivity w.r.t MFP

Force constants

../../_images/fig_fc26400.png

(a) Force constants w.r.t atomic distance

Summary

../../_images/fig_kappa5124.png

(a) Temperature-dependent lattice thermal conductivity

../../_images/fig_times11860.png

(b) Computation time