mp-6977/Be3N2/anharm

Harmonic properties

../../_images/fig_bandos9093.png

(a) Phonon dispersion and DOS

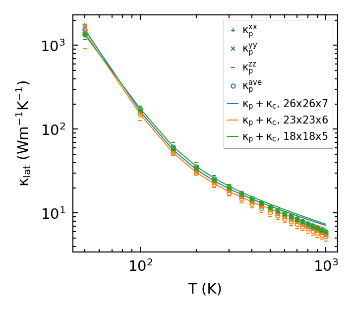
Thermal conductivity

Summary

../../_images/fig_kappa4824.png

(a) Temperature-dependent lattice thermal conductivity

../../_images/fig_times11322.png

(b) Computation time