mp-6440-2/CaTiSiO5/anharm

Equation of state

../../_images/fig_bm3393.png

(a) Equation of state

Harmonic properties

../../_images/fig_bandos_pr6417.png

(a) Phonon dispersion with participation ratio and DOS

../../_images/fig_thermo6417.png

(b) Thermodynamic properties

Grüneisen parameters

../../_images/fig_gru_all2613.png

(a) Grüneisen parameters

../../_images/fig_gruneisen2613.png

(b) Phonon dispersion with Grüneisen parameters

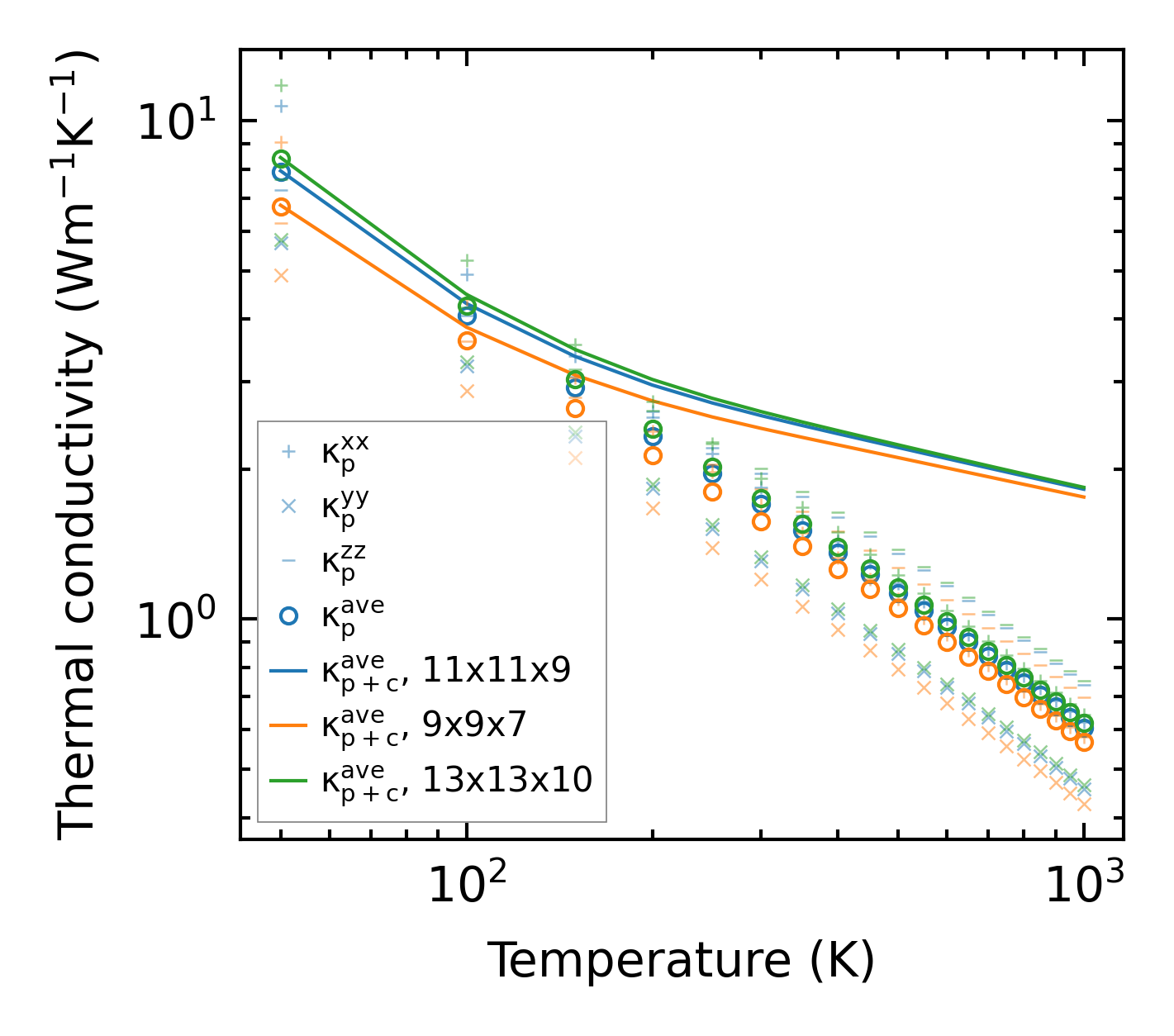
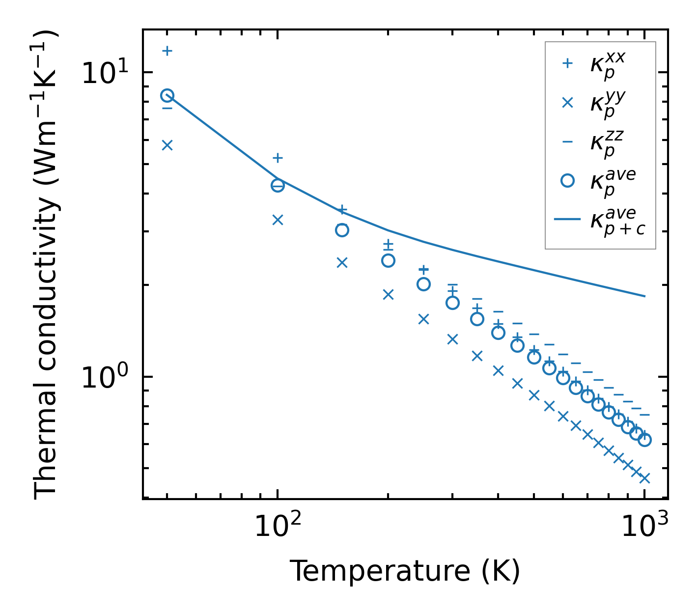
Thermal conductivity

3-phonon (LASSO) — q-mesh: 13x13x10, supercell: 2x1x2

../../_images/fig_kappa4968.png

(a) Temperature-dependent lattice thermal conductivity

../../_images/fig_kappa_vs_grain_size2648.png

(b) Peierls lattice thermal conductivity w.r.t grain size

Phonon lifetime and scattering rates

../../_images/fig_lifetime2591.png

(a) Phonon lifetime due to phonon-phonon scattering

../../_images/fig_scat_rates2590.png

(b) Phonon scattering rates

Cumulative and spectral thermal conductivity

../../_images/fig_cumu_frequency2591.png

(a) Spectral and cumulative thermal conductivity w.r.t frequency

../../_images/fig_cumu_mfp2590.png

(b) Spectral and cumulative thermal conductivity w.r.t MFP

Force constants

../../_images/fig_fc26207.png

(a) Force constants w.r.t atomic distance

Summary

../../_images/fig_kappa4969.png

(a) Temperature-dependent lattice thermal conductivity

../../_images/fig_times11556.png

(b) Computation time