mp-6760-2/Na3La9B8O27/anharm

Equation of state

../../_images/fig_bm3243.png

(a) Equation of state

Harmonic properties

../../_images/fig_bandos_pr6151.png

(a) Phonon dispersion with participation ratio and DOS

../../_images/fig_thermo6151.png

(b) Thermodynamic properties

Grüneisen parameters

../../_images/fig_gru_all2496.png

(a) Grüneisen parameters

../../_images/fig_gruneisen2496.png

(b) Phonon dispersion with Grüneisen parameters

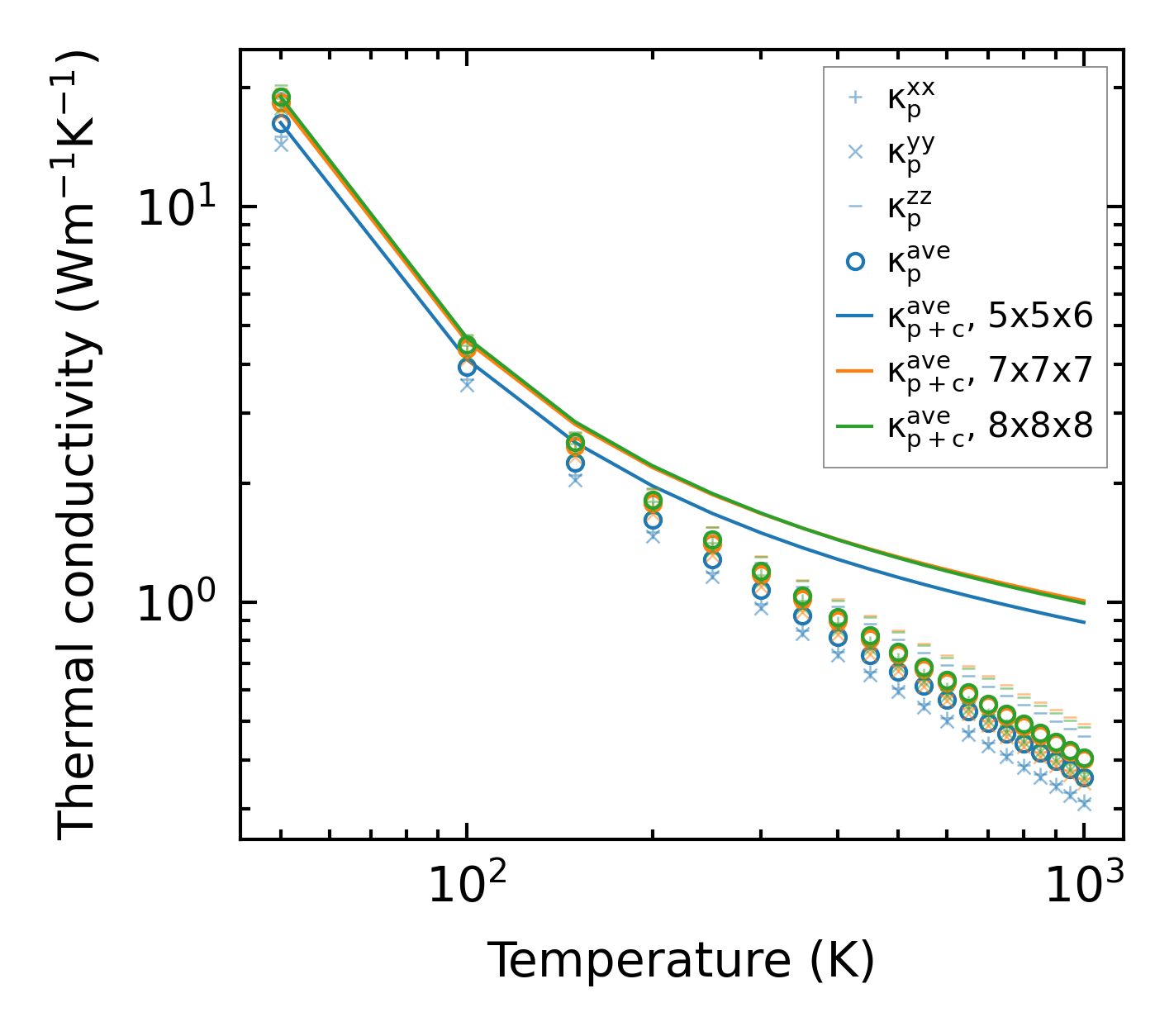
Thermal conductivity

3-phonon (LASSO) — q-mesh: 8x8x8, supercell: 1x1x2

../../_images/fig_kappa4749.png

(a) Temperature-dependent lattice thermal conductivity

../../_images/fig_kappa_vs_grain_size2526.png

(b) Peierls lattice thermal conductivity w.r.t grain size

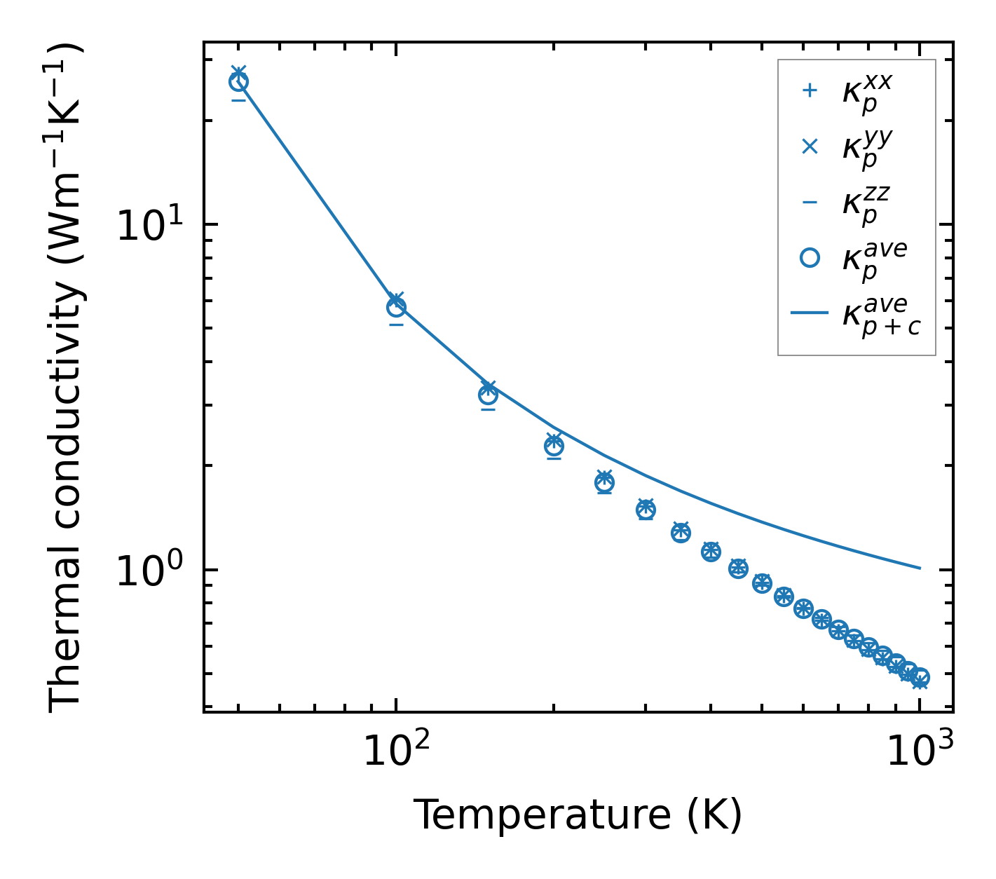
3-phonon (LASSO), supercell 2x2x2 — q-mesh: 8x8x8, supercell: 2x2x2

../../_images/fig_kappa4750.png

(a) Temperature-dependent lattice thermal conductivity

../../_images/fig_kappa_vs_grain_size2527.png

(b) Peierls lattice thermal conductivity w.r.t grain size

Phonon lifetime and scattering rates

../../_images/fig_lifetime2478.png

(a) Phonon lifetime due to phonon-phonon scattering

../../_images/fig_scat_rates2477.png

(b) Phonon scattering rates

Cumulative and spectral thermal conductivity

../../_images/fig_cumu_frequency2478.png

(a) Spectral and cumulative thermal conductivity w.r.t frequency

../../_images/fig_cumu_mfp2477.png

(b) Spectral and cumulative thermal conductivity w.r.t MFP

Force constants

../../_images/fig_fc25942.png

(a) Force constants w.r.t atomic distance

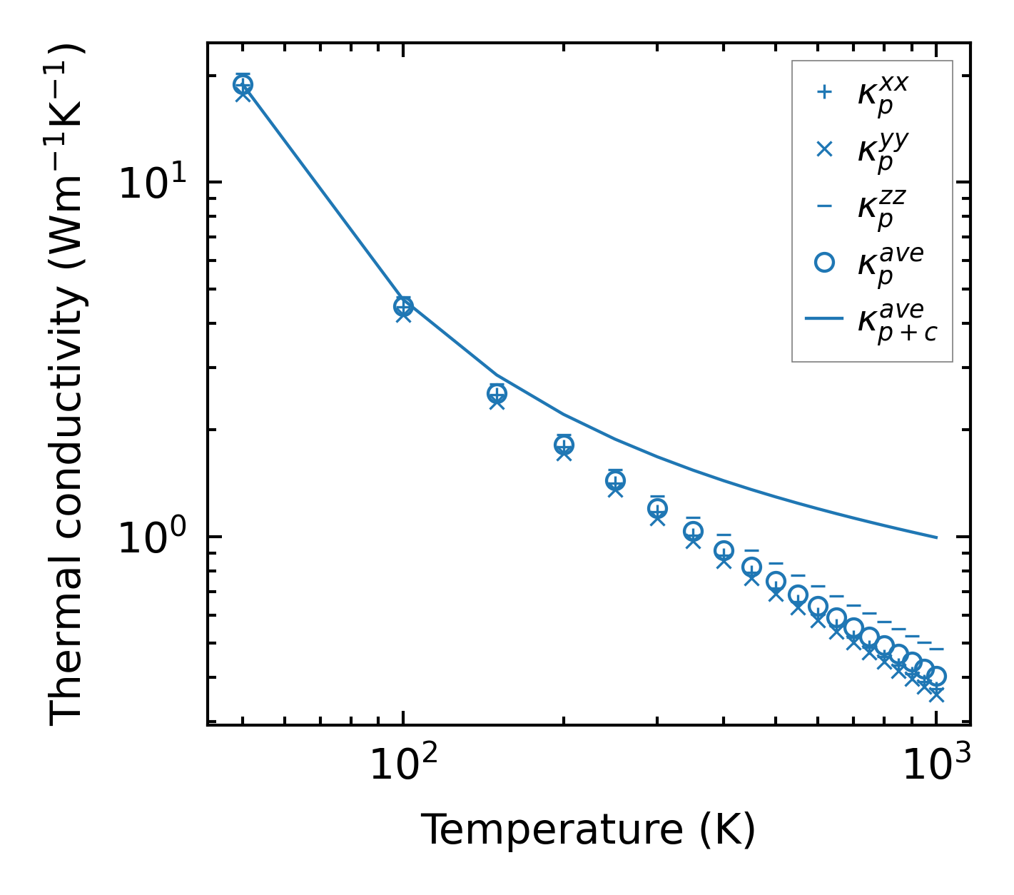
Summary

../../_images/fig_kappa4751.png

(a) Temperature-dependent lattice thermal conductivity

../../_images/fig_times11217.png

(b) Computation time