mp-6799/LiCa4B3N6/anharm

Equation of state

../../_images/fig_bm3256.png

(a) Equation of state

Harmonic properties

../../_images/fig_bandos_pr6170.png

(a) Phonon dispersion with participation ratio and DOS

../../_images/fig_thermo6170.png

(b) Thermodynamic properties

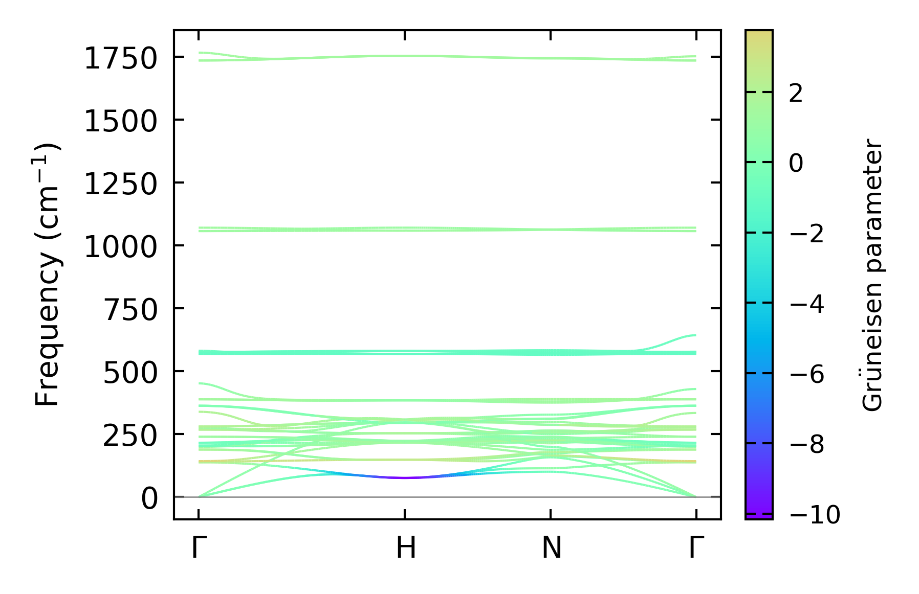
Grüneisen parameters

../../_images/fig_gru_all2504.png

(a) Grüneisen parameters

../../_images/fig_gruneisen2504.png

(b) Phonon dispersion with Grüneisen parameters

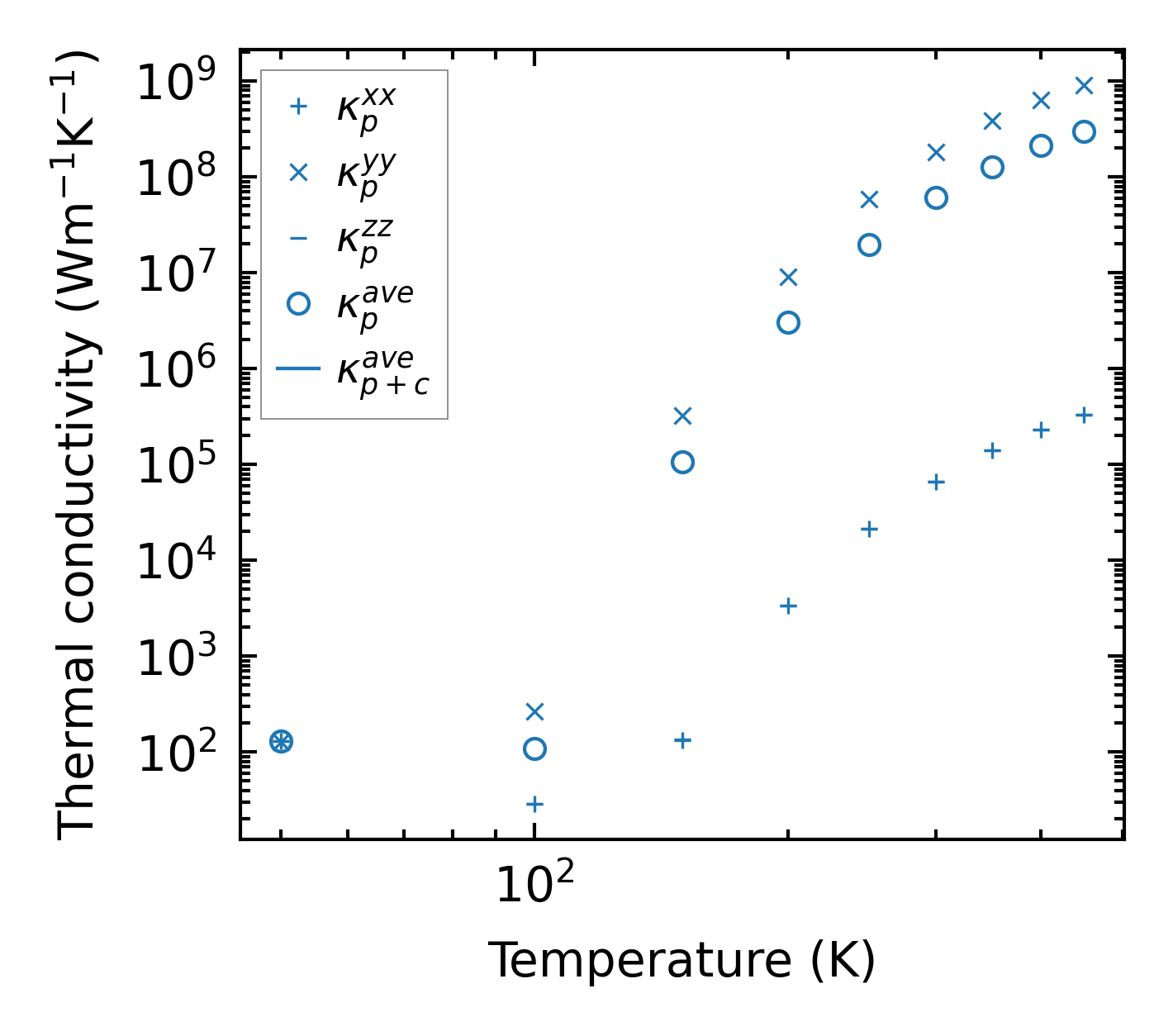
Thermal conductivity

3-phonon (LASSO) — q-mesh: 12x12x12, supercell: 1x1x1

../../_images/fig_kappa4762.png

(a) Temperature-dependent lattice thermal conductivity

../../_images/fig_kappa_vs_grain_size2535.png

(b) Peierls lattice thermal conductivity w.r.t grain size

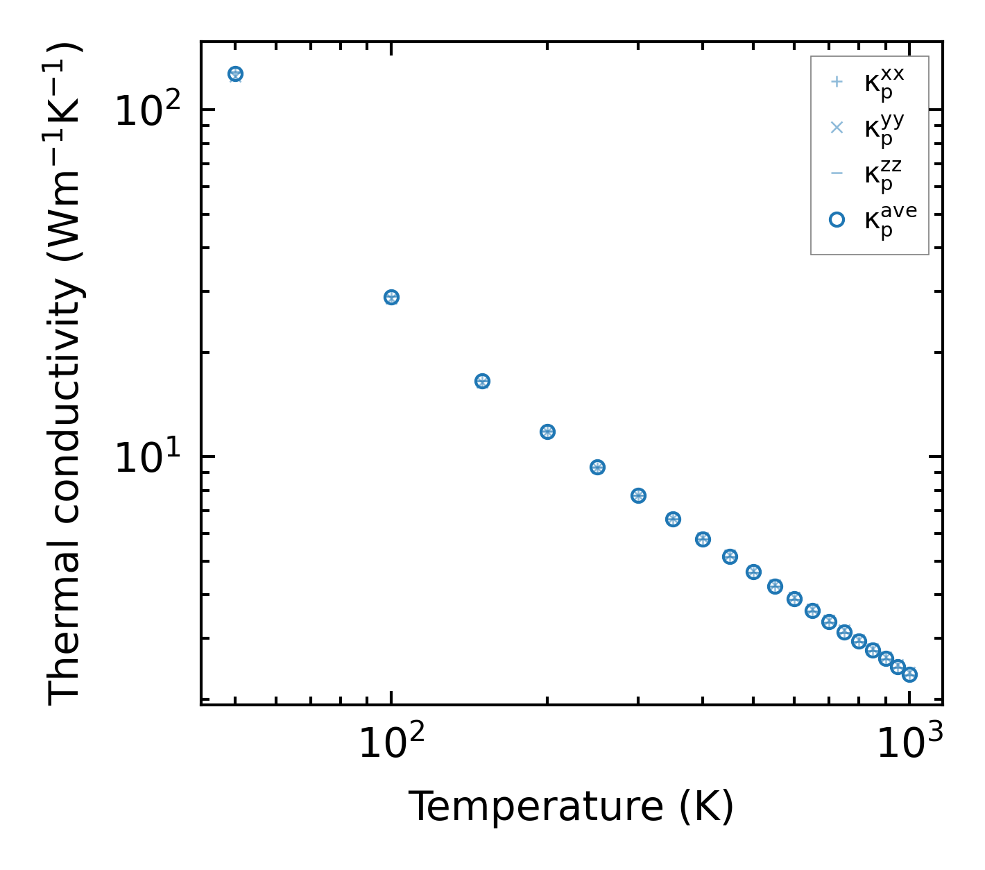
3-phonon (LASSO), supercell 2x2x2 — q-mesh: 12x12x12, supercell: 2x2x2

../../_images/fig_kappa4763.png

(a) Temperature-dependent lattice thermal conductivity

../../_images/fig_kappa_vs_grain_size2536.png

(b) Peierls lattice thermal conductivity w.r.t grain size

Phonon lifetime and scattering rates

../../_images/fig_lifetime2486.png

(a) Phonon lifetime due to phonon-phonon scattering

../../_images/fig_scat_rates2485.png

(b) Phonon scattering rates

Cumulative and spectral thermal conductivity

../../_images/fig_cumu_frequency2486.png

(a) Spectral and cumulative thermal conductivity w.r.t frequency

../../_images/fig_cumu_mfp2485.png

(b) Spectral and cumulative thermal conductivity w.r.t MFP

Force constants

../../_images/fig_fc25961.png

(a) Force constants w.r.t atomic distance

Summary

../../_images/fig_kappa4764.png

(a) Temperature-dependent lattice thermal conductivity

../../_images/fig_times11246.png

(b) Computation time