mp-6920-2/KNO3/anharm

Equation of state

../../_images/fig_bm3278.png

(a) Equation of state

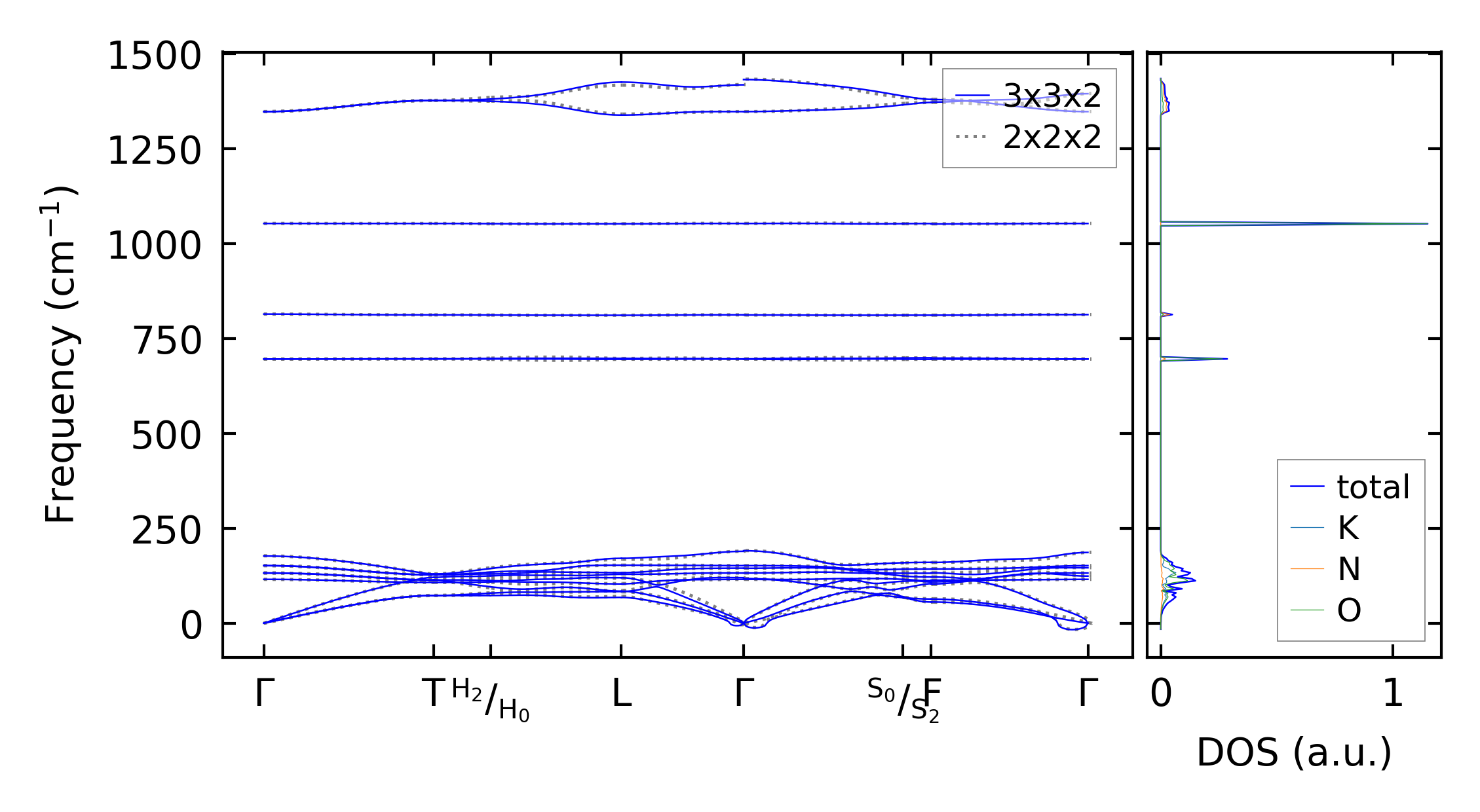
Harmonic properties

../../_images/fig_bandos_pr6213.png

(a) Phonon dispersion with participation ratio and DOS

../../_images/fig_bandos9076.png

(b) Phonon dispersion and DOS

../../_images/fig_thermo6213.png

(c) Thermodynamic properties

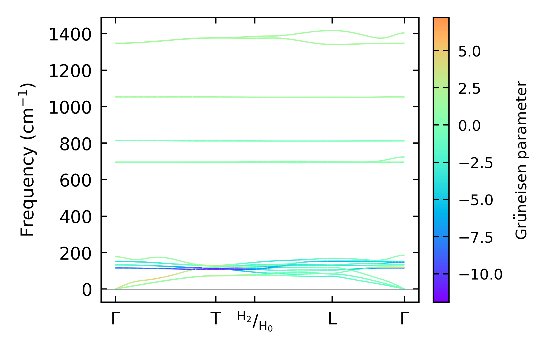
Grüneisen parameters

../../_images/fig_gru_all2525.png

(a) Grüneisen parameters

../../_images/fig_gruneisen2525.png

(b) Phonon dispersion with Grüneisen parameters

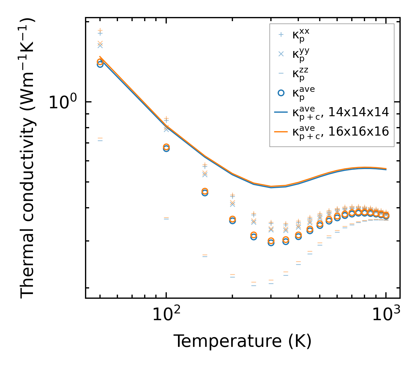
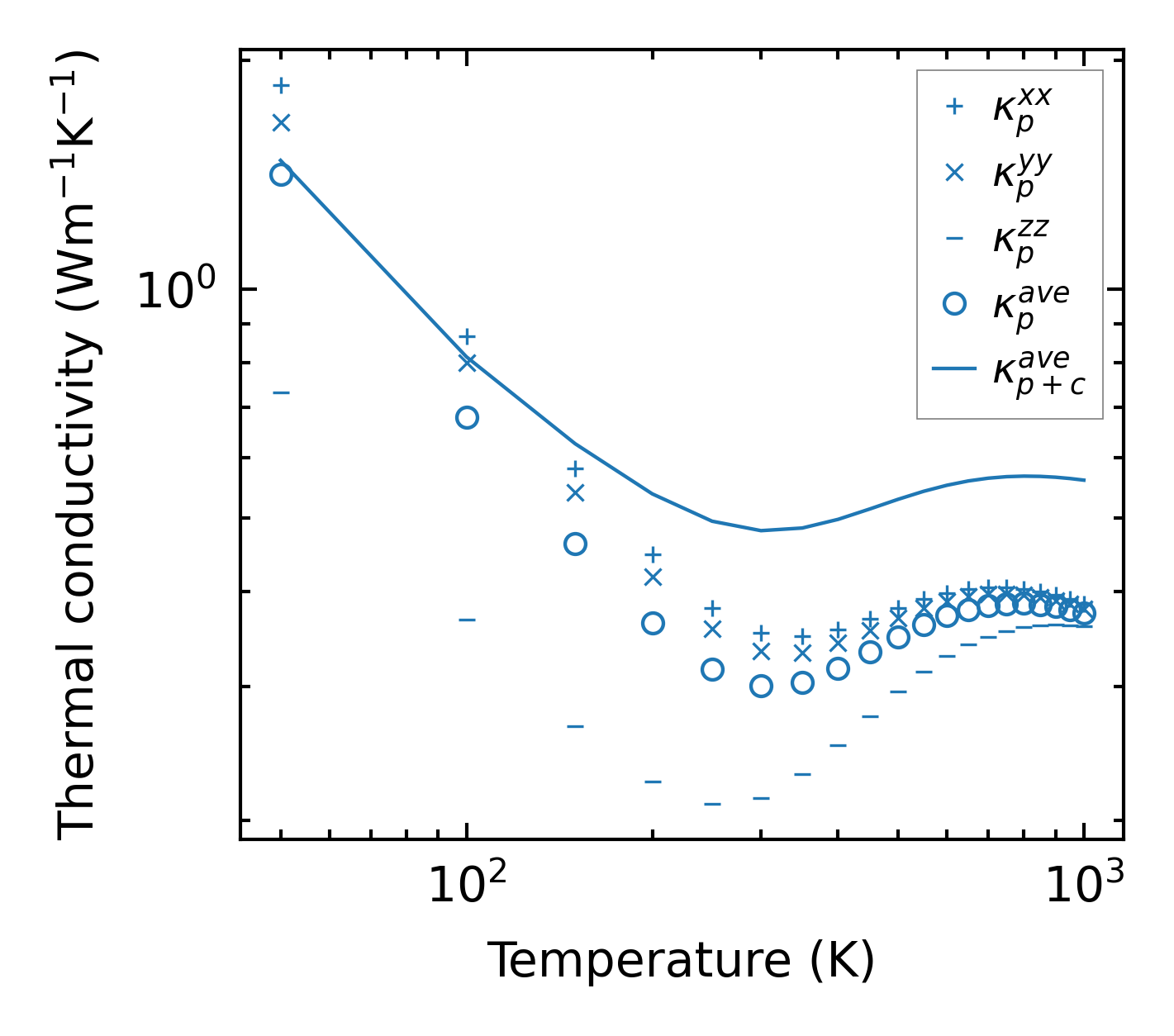
Thermal conductivity

3-phonon (LASSO) — q-mesh: 16x16x16, supercell: 2x2x2

../../_images/fig_kappa4803.png

(a) Temperature-dependent lattice thermal conductivity

../../_images/fig_kappa_vs_grain_size2558.png

(b) Peierls lattice thermal conductivity w.r.t grain size

Phonon lifetime and scattering rates

../../_images/fig_lifetime2507.png

(a) Phonon lifetime due to phonon-phonon scattering

../../_images/fig_scat_rates2506.png

(b) Phonon scattering rates

Cumulative and spectral thermal conductivity

../../_images/fig_cumu_frequency2507.png

(a) Spectral and cumulative thermal conductivity w.r.t frequency

../../_images/fig_cumu_mfp2506.png

(b) Spectral and cumulative thermal conductivity w.r.t MFP

Force constants

../../_images/fig_fc26004.png

(a) Force constants w.r.t atomic distance

Summary

../../_images/fig_kappa4804.png

(a) Temperature-dependent lattice thermal conductivity

../../_images/fig_times11296.png

(b) Computation time