mp-6585/CaMgB2O5/anharm

Equation of state

../../_images/fig_bm3432.png

(a) Equation of state

Harmonic properties

../../_images/fig_bandos_pr6476.png

(a) Phonon dispersion with participation ratio and DOS

../../_images/fig_thermo6476.png

(b) Thermodynamic properties

Grüneisen parameters

../../_images/fig_gru_all2643.png

(a) Grüneisen parameters

../../_images/fig_gruneisen2643.png

(b) Phonon dispersion with Grüneisen parameters

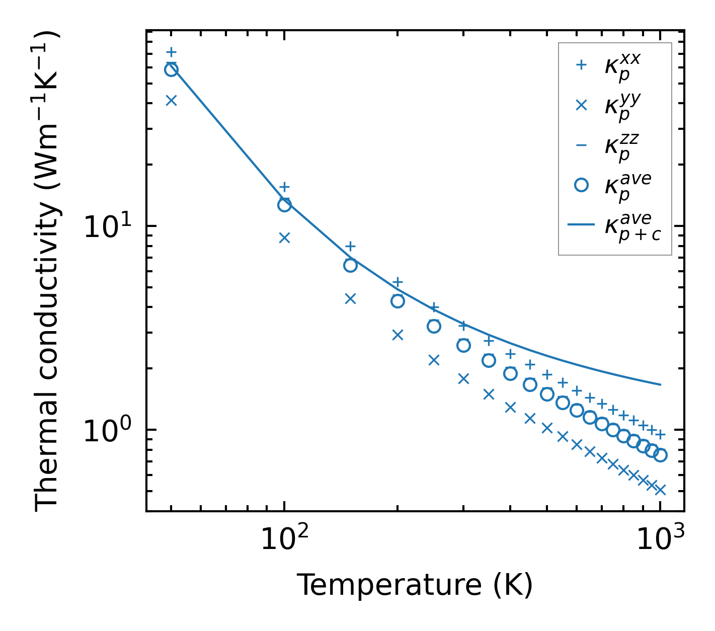
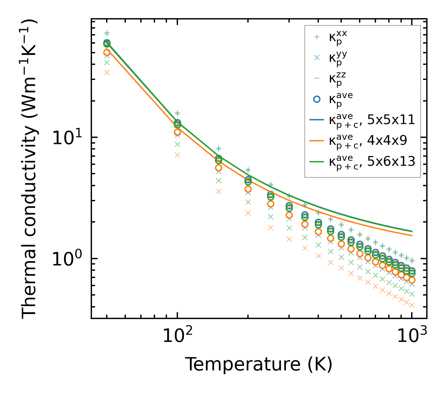
Thermal conductivity

3-phonon (LASSO) — q-mesh: 5x6x13, supercell: 1x1x2

../../_images/fig_kappa5024.png

(a) Temperature-dependent lattice thermal conductivity

../../_images/fig_kappa_vs_grain_size2679.png

(b) Peierls lattice thermal conductivity w.r.t grain size

Phonon lifetime and scattering rates

../../_images/fig_lifetime2621.png

(a) Phonon lifetime due to phonon-phonon scattering

../../_images/fig_scat_rates2620.png

(b) Phonon scattering rates

Cumulative and spectral thermal conductivity

../../_images/fig_cumu_frequency2621.png

(a) Spectral and cumulative thermal conductivity w.r.t frequency

../../_images/fig_cumu_mfp2620.png

(b) Spectral and cumulative thermal conductivity w.r.t MFP

Force constants

../../_images/fig_fc26266.png

(a) Force constants w.r.t atomic distance

Summary

../../_images/fig_kappa5025.png

(a) Temperature-dependent lattice thermal conductivity

../../_images/fig_times11646.png

(b) Computation time