mp-6712/NaLuGeO4/anharm

Harmonic properties

../../_images/fig_bandos_pr6138.png

(a) Phonon dispersion with participation ratio and DOS

../../_images/fig_thermo6138.png

(b) Thermodynamic properties

Grüneisen parameters

../../_images/fig_gru_all2490.png

(a) Grüneisen parameters

../../_images/fig_gruneisen2490.png

(b) Phonon dispersion with Grüneisen parameters

Thermal conductivity

3-phonon (LASSO) — q-mesh: 6x11x13, supercell: 1x2x2

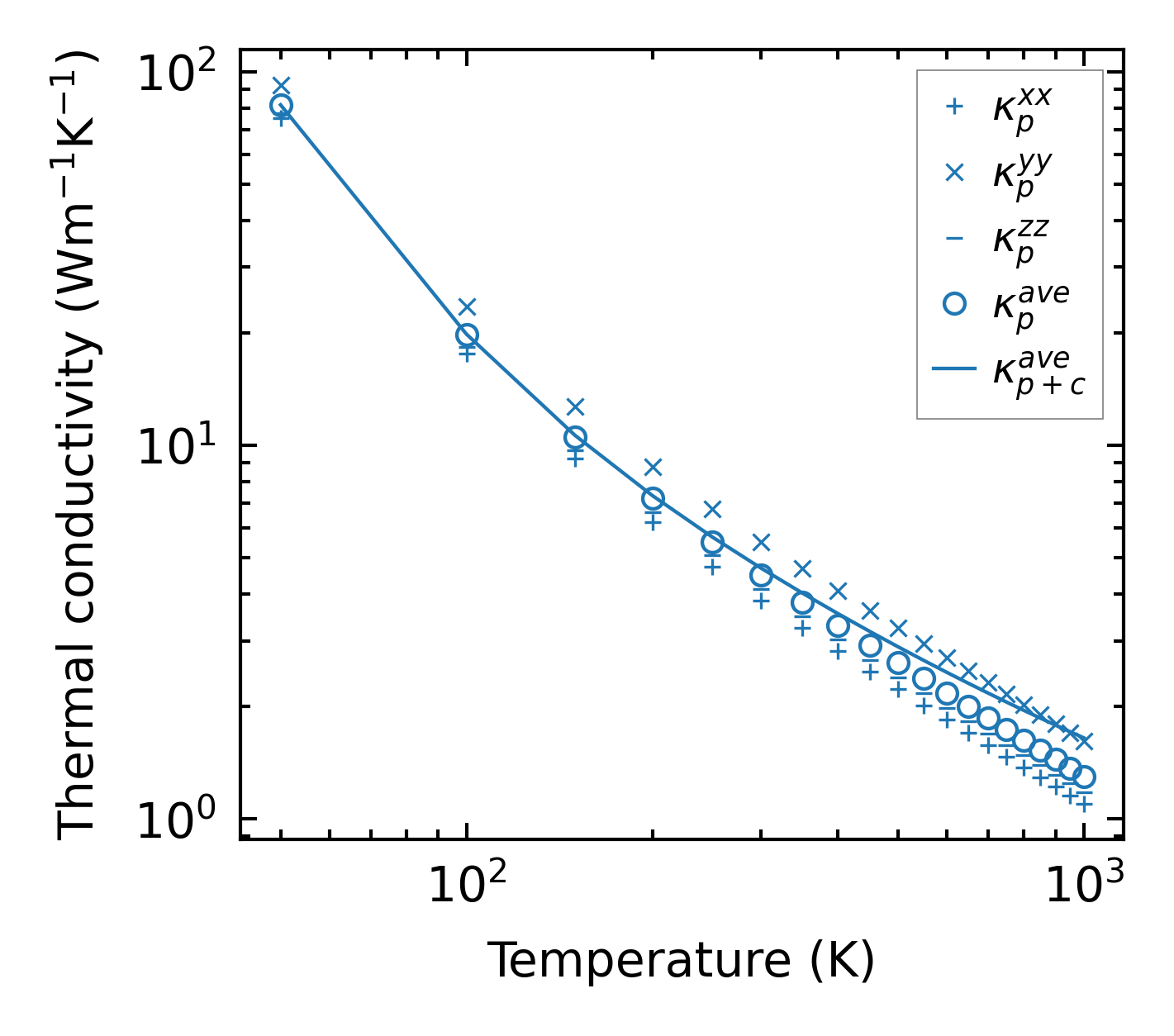
../../_images/fig_kappa4738.png

(a) Temperature-dependent lattice thermal conductivity

../../_images/fig_kappa_vs_grain_size2520.png

(b) Peierls lattice thermal conductivity w.r.t grain size

Phonon lifetime and scattering rates

../../_images/fig_lifetime2472.png

(a) Phonon lifetime due to phonon-phonon scattering

../../_images/fig_scat_rates2471.png

(b) Phonon scattering rates

Cumulative and spectral thermal conductivity

../../_images/fig_cumu_frequency2472.png

(a) Spectral and cumulative thermal conductivity w.r.t frequency

../../_images/fig_cumu_mfp2471.png

(b) Spectral and cumulative thermal conductivity w.r.t MFP

Force constants

../../_images/fig_fc25929.png

(a) Force constants w.r.t atomic distance

Summary

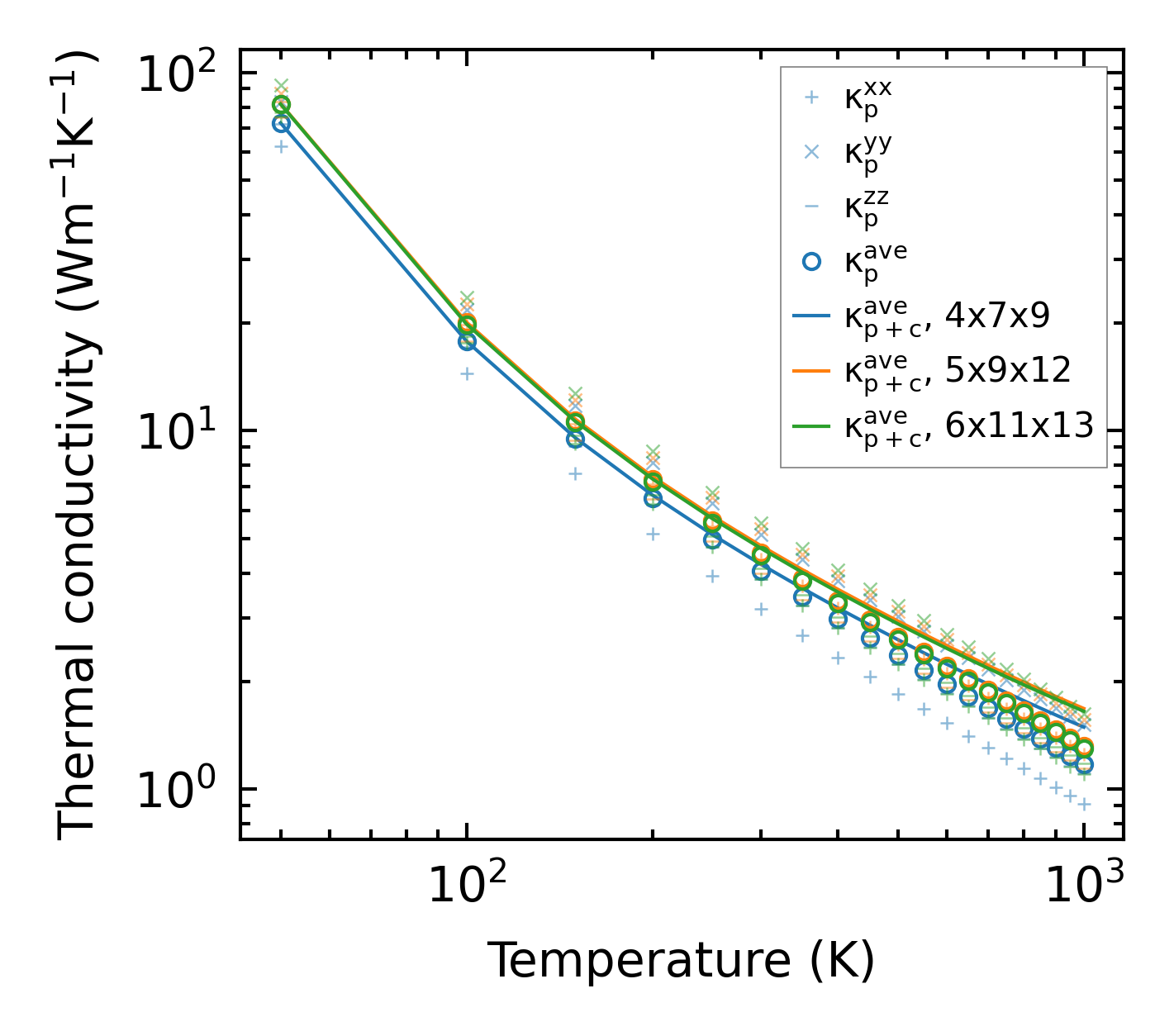
../../_images/fig_kappa4739.png

(a) Temperature-dependent lattice thermal conductivity

../../_images/fig_times11197.png

(b) Computation time