mp-6273-2/Ba4NaSb3O12/anharm

Equation of state

../../_images/fig_bm3357.png

(a) Equation of state

Harmonic properties

../../_images/fig_bandos_pr6353.png

(a) Phonon dispersion with participation ratio and DOS

../../_images/fig_thermo6353.png

(b) Thermodynamic properties

Grüneisen parameters

../../_images/fig_gru_all2588.png

(a) Grüneisen parameters

../../_images/fig_gruneisen2588.png

(b) Phonon dispersion with Grüneisen parameters

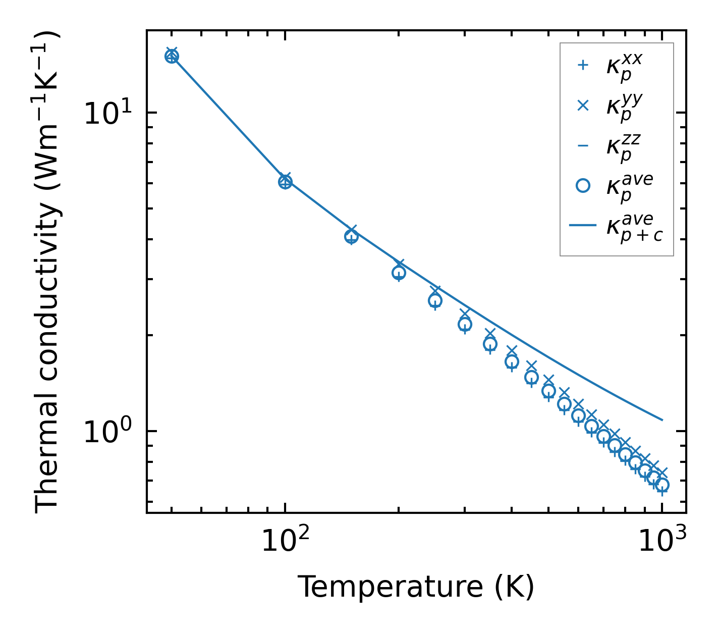
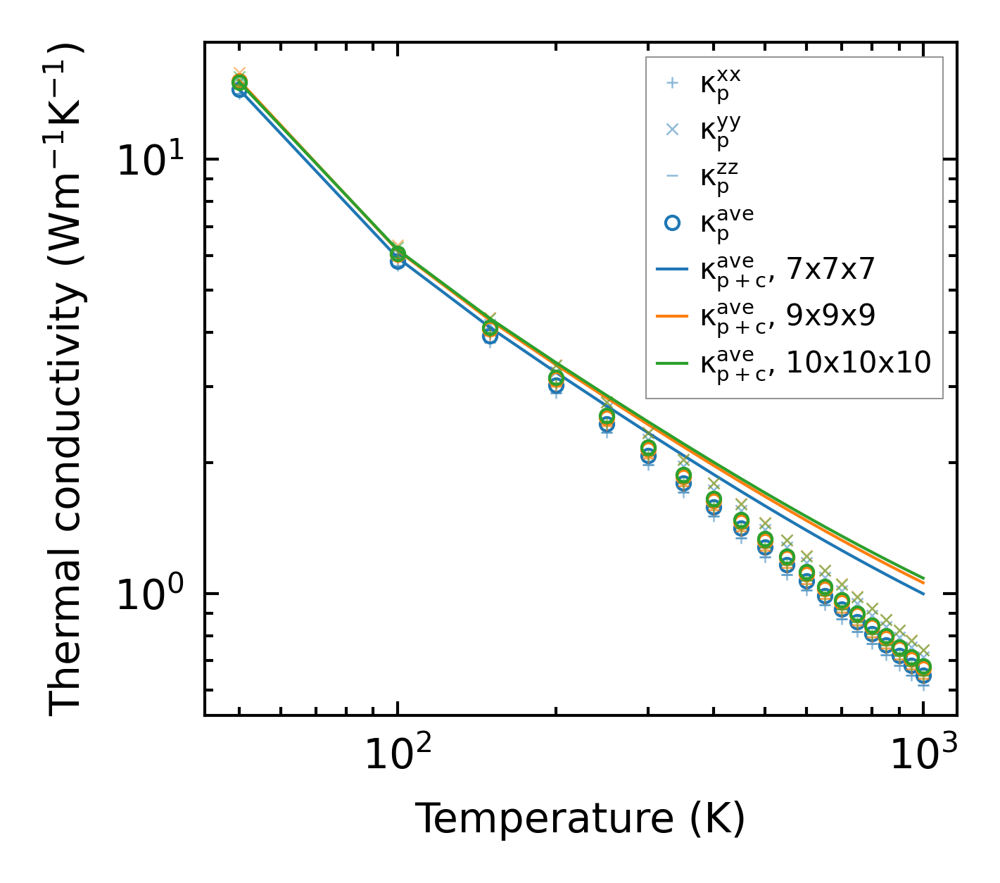
Thermal conductivity

3-phonon (LASSO) — q-mesh: 10x10x10, supercell: 1x1x1

../../_images/fig_kappa4922.png

(a) Temperature-dependent lattice thermal conductivity

../../_images/fig_kappa_vs_grain_size2623.png

(b) Peierls lattice thermal conductivity w.r.t grain size

Phonon lifetime and scattering rates

../../_images/fig_lifetime2566.png

(a) Phonon lifetime due to phonon-phonon scattering

../../_images/fig_scat_rates2565.png

(b) Phonon scattering rates

Cumulative and spectral thermal conductivity

../../_images/fig_cumu_frequency2566.png

(a) Spectral and cumulative thermal conductivity w.r.t frequency

../../_images/fig_cumu_mfp2565.png

(b) Spectral and cumulative thermal conductivity w.r.t MFP

Force constants

../../_images/fig_fc26143.png

(a) Force constants w.r.t atomic distance

Summary

../../_images/fig_kappa4923.png

(a) Temperature-dependent lattice thermal conductivity

../../_images/fig_times11477.png

(b) Computation time