mp-6325/Ba3MgTa2O9/anharm

Equation of state

../../_images/fig_bm3369.png

(a) Equation of state

Harmonic properties

../../_images/fig_bandos_pr6375.png

(a) Phonon dispersion with participation ratio and DOS

../../_images/fig_thermo6375.png

(b) Thermodynamic properties

Grüneisen parameters

../../_images/fig_gru_all2598.png

(a) Grüneisen parameters

../../_images/fig_gruneisen2598.png

(b) Phonon dispersion with Grüneisen parameters

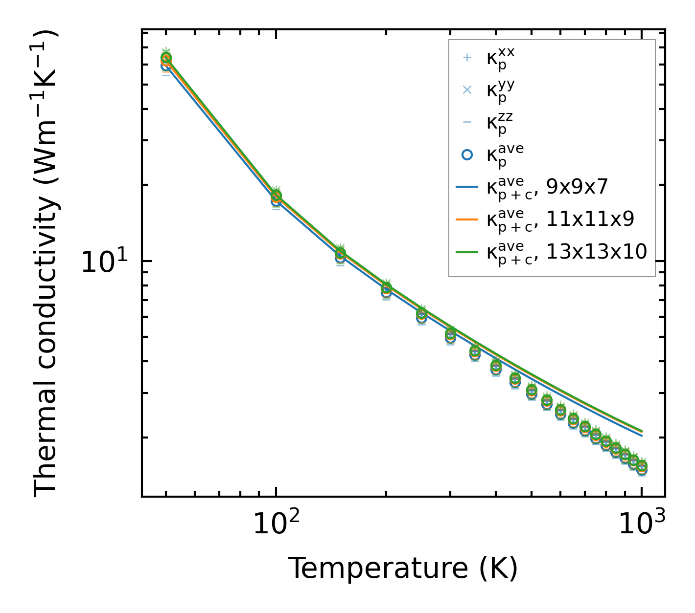
Thermal conductivity

3-phonon (LASSO) — q-mesh: 13x13x10, supercell: 2x2x2

../../_images/fig_kappa4940.png

(a) Temperature-dependent lattice thermal conductivity

../../_images/fig_kappa_vs_grain_size2633.png

(b) Peierls lattice thermal conductivity w.r.t grain size

Phonon lifetime and scattering rates

../../_images/fig_lifetime2576.png

(a) Phonon lifetime due to phonon-phonon scattering

../../_images/fig_scat_rates2575.png

(b) Phonon scattering rates

Cumulative and spectral thermal conductivity

../../_images/fig_cumu_frequency2576.png

(a) Spectral and cumulative thermal conductivity w.r.t frequency

../../_images/fig_cumu_mfp2575.png

(b) Spectral and cumulative thermal conductivity w.r.t MFP

Force constants

../../_images/fig_fc26165.png

(a) Force constants w.r.t atomic distance

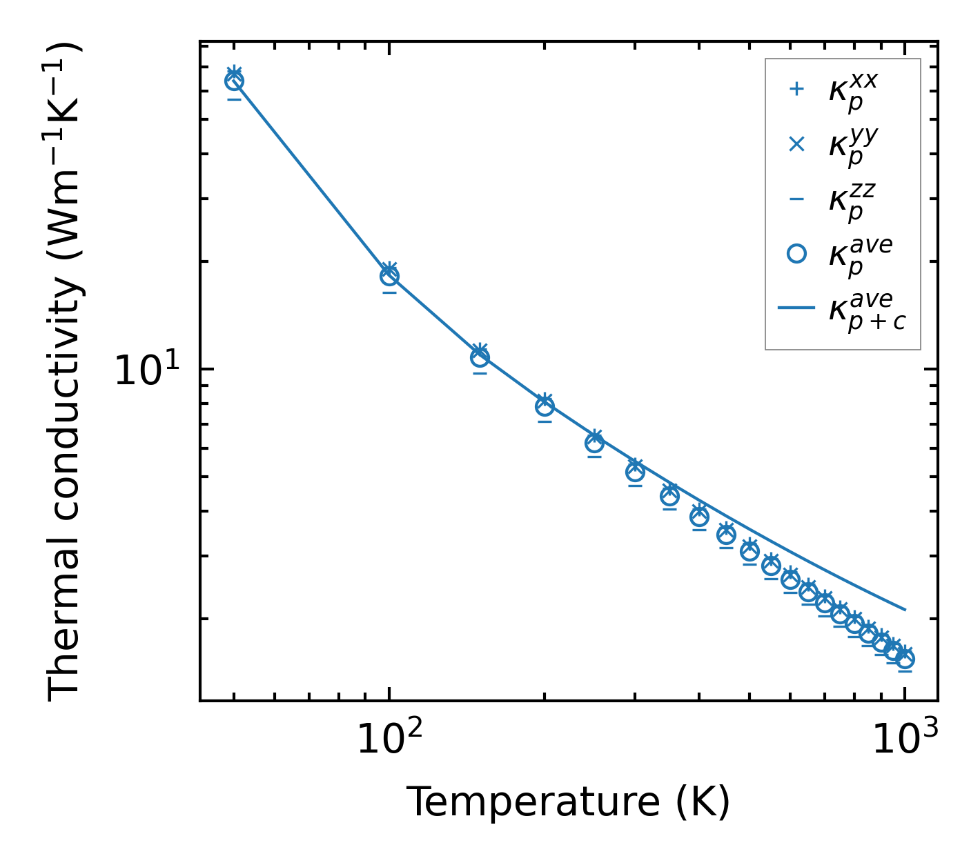
Summary

../../_images/fig_kappa4941.png

(a) Temperature-dependent lattice thermal conductivity

../../_images/fig_times11501.png

(b) Computation time