mp-6441-2/K2PO3F/anharm

Equation of state

../../_images/fig_bm3394.png

(a) Equation of state

Harmonic properties

../../_images/fig_bandos_pr6418.png

(a) Phonon dispersion with participation ratio and DOS

../../_images/fig_thermo6418.png

(b) Thermodynamic properties

Grüneisen parameters

../../_images/fig_gru_all2614.png

(a) Grüneisen parameters

../../_images/fig_gruneisen2614.png

(b) Phonon dispersion with Grüneisen parameters

Thermal conductivity

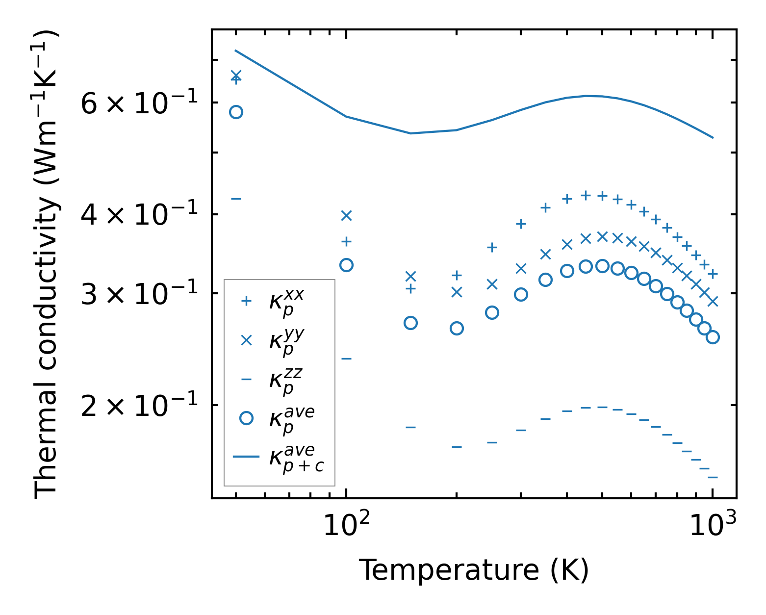
3-phonon (LASSO) — q-mesh: 9x12x7, supercell: 2x2x1

../../_images/fig_kappa4970.png

(a) Temperature-dependent lattice thermal conductivity

../../_images/fig_kappa_vs_grain_size2649.png

(b) Peierls lattice thermal conductivity w.r.t grain size

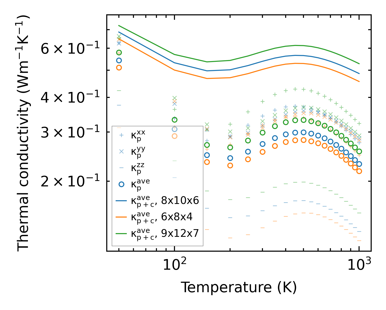
3-phonon (LASSO), supercell 2x2x2 — q-mesh: 9x12x7, supercell: 2x2x2

../../_images/fig_kappa4971.png

(a) Temperature-dependent lattice thermal conductivity

../../_images/fig_kappa_vs_grain_size2650.png

(b) Peierls lattice thermal conductivity w.r.t grain size

Phonon lifetime and scattering rates

../../_images/fig_lifetime2592.png

(a) Phonon lifetime due to phonon-phonon scattering

../../_images/fig_scat_rates2591.png

(b) Phonon scattering rates

Cumulative and spectral thermal conductivity

../../_images/fig_cumu_frequency2592.png

(a) Spectral and cumulative thermal conductivity w.r.t frequency

../../_images/fig_cumu_mfp2591.png

(b) Spectral and cumulative thermal conductivity w.r.t MFP

Force constants

../../_images/fig_fc26208.png

(a) Force constants w.r.t atomic distance

Summary

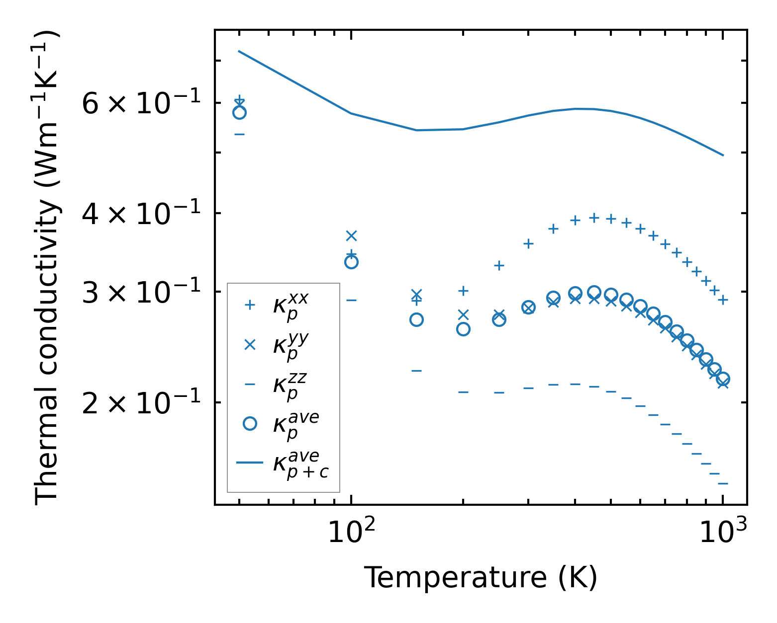
../../_images/fig_kappa4972.png

(a) Temperature-dependent lattice thermal conductivity

../../_images/fig_times11558.png

(b) Computation time