mp-29000/Na3B5S9/anharm

Equation of state

../../_images/fig_bm5551.png

(a) Equation of state

Harmonic properties

../../_images/fig_bandos_pr11352.png

(a) Phonon dispersion with participation ratio and DOS

../../_images/fig_thermo11352.png

(b) Thermodynamic properties

Grüneisen parameters

../../_images/fig_gru_all4696.png

(a) Grüneisen parameters

../../_images/fig_gruneisen4696.png

(b) Phonon dispersion with Grüneisen parameters

Thermal conductivity

3-phonon (LASSO) — q-mesh: 5x5x5, supercell: 1x1x1

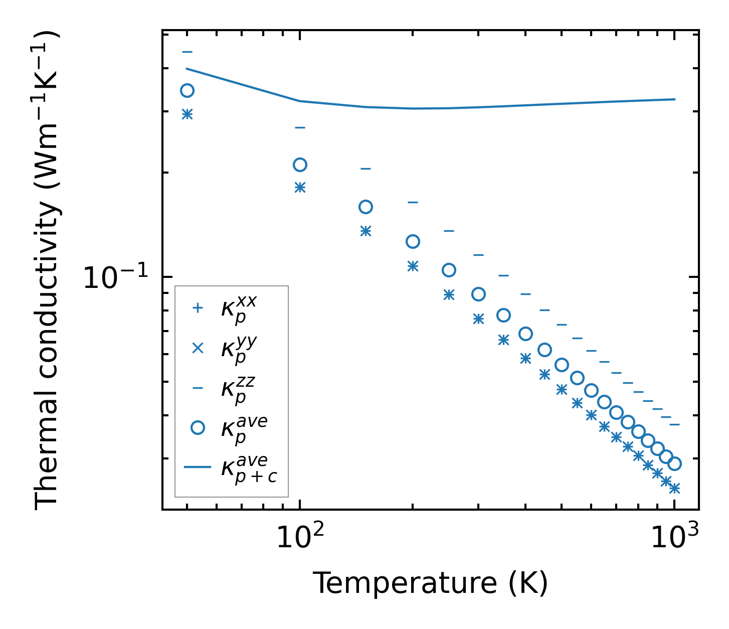
../../_images/fig_kappa8864.png

(a) Temperature-dependent lattice thermal conductivity

../../_images/fig_kappa_vs_grain_size4755.png

(b) Peierls lattice thermal conductivity w.r.t grain size

Phonon lifetime and scattering rates

../../_images/fig_lifetime4652.png

(a) Phonon lifetime due to phonon-phonon scattering

../../_images/fig_scat_rates4651.png

(b) Phonon scattering rates

Cumulative and spectral thermal conductivity

../../_images/fig_cumu_frequency4652.png

(a) Spectral and cumulative thermal conductivity w.r.t frequency

../../_images/fig_cumu_mfp4651.png

(b) Spectral and cumulative thermal conductivity w.r.t MFP

Force constants

../../_images/fig_fc211068.png

(a) Force constants w.r.t atomic distance

Summary

../../_images/fig_kappa8865.png

(a) Temperature-dependent lattice thermal conductivity

../../_images/fig_times19380.png

(b) Computation time