mp-28108-2/Na4SnTe4/anharm

Equation of state

../../_images/fig_bm5704.png

(a) Equation of state

Harmonic properties

../../_images/fig_bandos_pr11696.png

(a) Phonon dispersion with participation ratio and DOS

../../_images/fig_bandos15694.png

(b) Phonon dispersion and DOS

../../_images/fig_thermo11696.png

(c) Thermodynamic properties

Grüneisen parameters

../../_images/fig_gru_all4881.png

(a) Grüneisen parameters

../../_images/fig_gruneisen4881.png

(b) Phonon dispersion with Grüneisen parameters

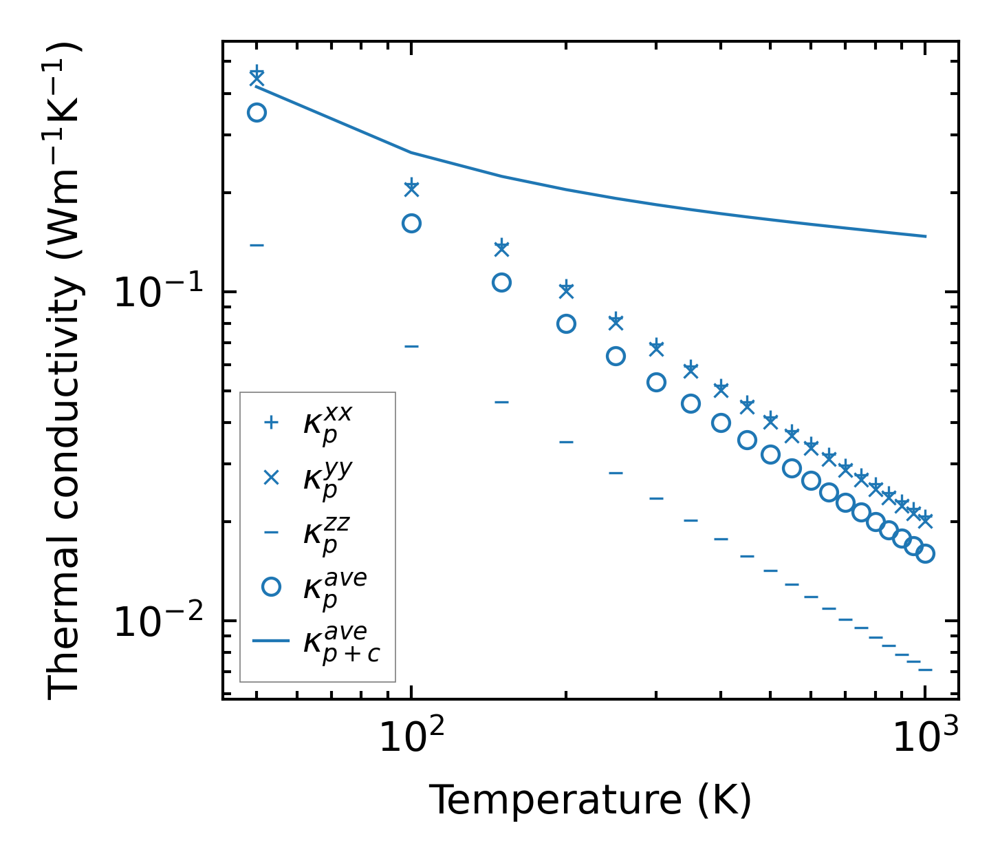
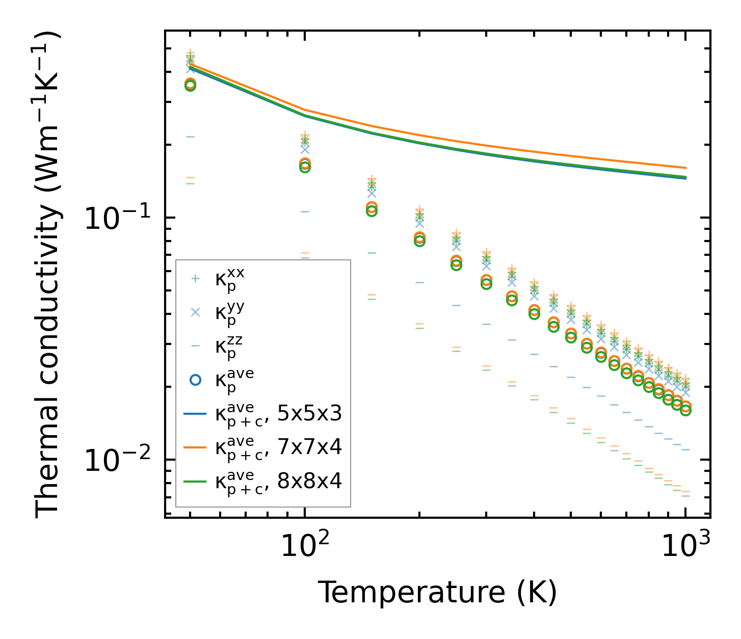
Thermal conductivity

3-phonon (LASSO) — q-mesh: 8x8x4, supercell: 2x2x1

../../_images/fig_kappa9202.png

(a) Temperature-dependent lattice thermal conductivity

../../_images/fig_kappa_vs_grain_size4937.png

(b) Peierls lattice thermal conductivity w.r.t grain size

Phonon lifetime and scattering rates

../../_images/fig_lifetime4832.png

(a) Phonon lifetime due to phonon-phonon scattering

../../_images/fig_scat_rates4831.png

(b) Phonon scattering rates

Cumulative and spectral thermal conductivity

../../_images/fig_cumu_frequency4832.png

(a) Spectral and cumulative thermal conductivity w.r.t frequency

../../_images/fig_cumu_mfp4831.png

(b) Spectral and cumulative thermal conductivity w.r.t MFP

Force constants

../../_images/fig_fc211407.png

(a) Force constants w.r.t atomic distance

Summary

../../_images/fig_kappa9203.png

(a) Temperature-dependent lattice thermal conductivity

../../_images/fig_times19881.png

(b) Computation time