mp-28145/Rb2PdCl6/anharm

Harmonic properties

../../_images/fig_bandos_pr11722.png

(a) Phonon dispersion with participation ratio and DOS

../../_images/fig_thermo11722.png

(b) Thermodynamic properties

Grüneisen parameters

../../_images/fig_gru_all4886.png

(a) Grüneisen parameters

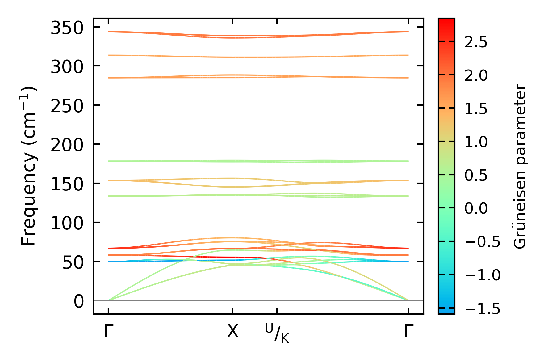
../../_images/fig_gruneisen4886.png

(b) Phonon dispersion with Grüneisen parameters

Thermal conductivity

3-phonon (LASSO) — q-mesh: 11x11x11, supercell: 1x1x1

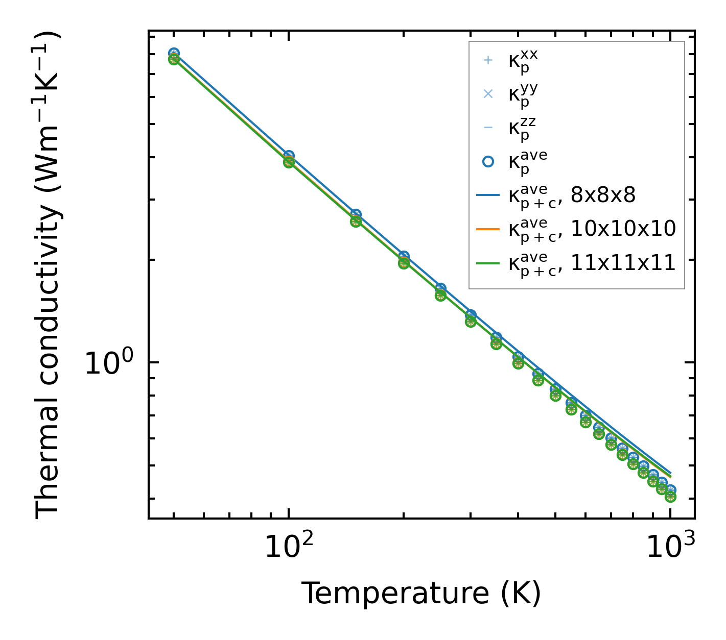
../../_images/fig_kappa9209.png

(a) Temperature-dependent lattice thermal conductivity

../../_images/fig_kappa_vs_grain_size4942.png

(b) Peierls lattice thermal conductivity w.r.t grain size

Phonon lifetime and scattering rates

../../_images/fig_lifetime4837.png

(a) Phonon lifetime due to phonon-phonon scattering

../../_images/fig_scat_rates4836.png

(b) Phonon scattering rates

Cumulative and spectral thermal conductivity

../../_images/fig_cumu_frequency4837.png

(a) Spectral and cumulative thermal conductivity w.r.t frequency

../../_images/fig_cumu_mfp4836.png

(b) Spectral and cumulative thermal conductivity w.r.t MFP

Force constants

../../_images/fig_fc211433.png

(a) Force constants w.r.t atomic distance

Summary

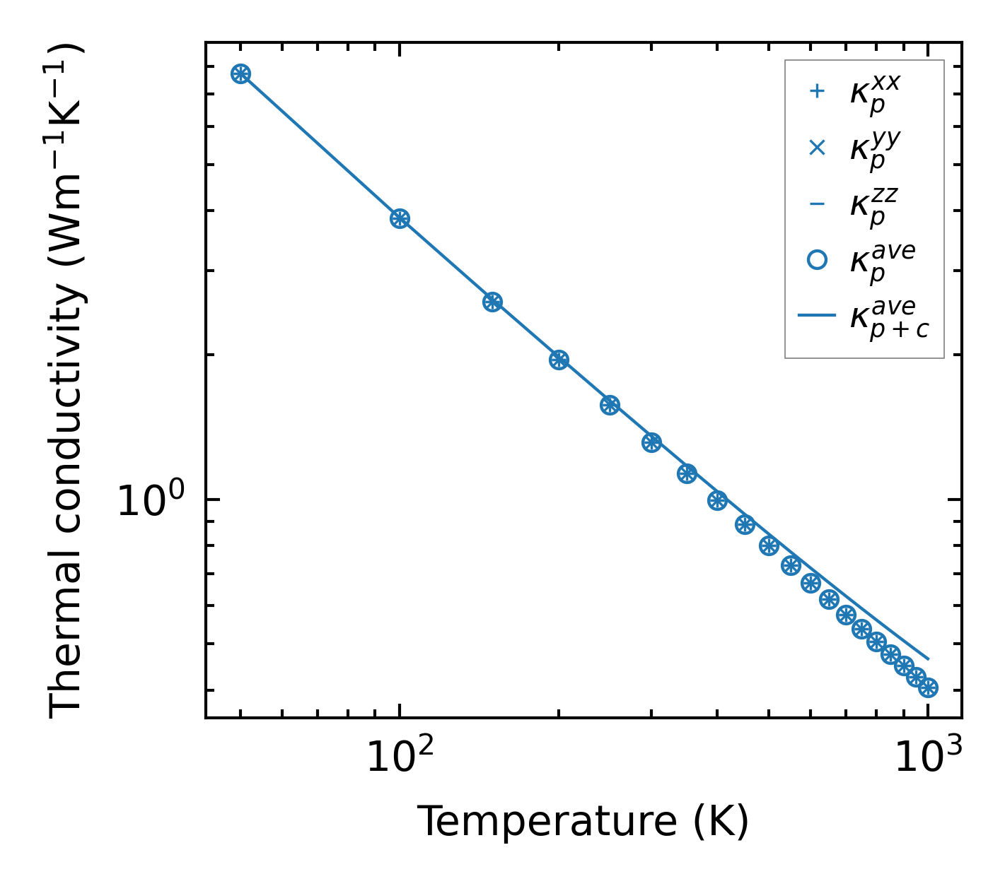
../../_images/fig_kappa9210.png

(a) Temperature-dependent lattice thermal conductivity

../../_images/fig_times19913.png

(b) Computation time