mp-28021/Sr5Br8Cl2/anharm

Harmonic properties

../../_images/fig_bandos_pr12005.png

(a) Phonon dispersion with participation ratio and DOS

../../_images/fig_thermo12005.png

(b) Thermodynamic properties

Grüneisen parameters

../../_images/fig_gru_all5004.png

(a) Grüneisen parameters

../../_images/fig_gruneisen5004.png

(b) Phonon dispersion with Grüneisen parameters

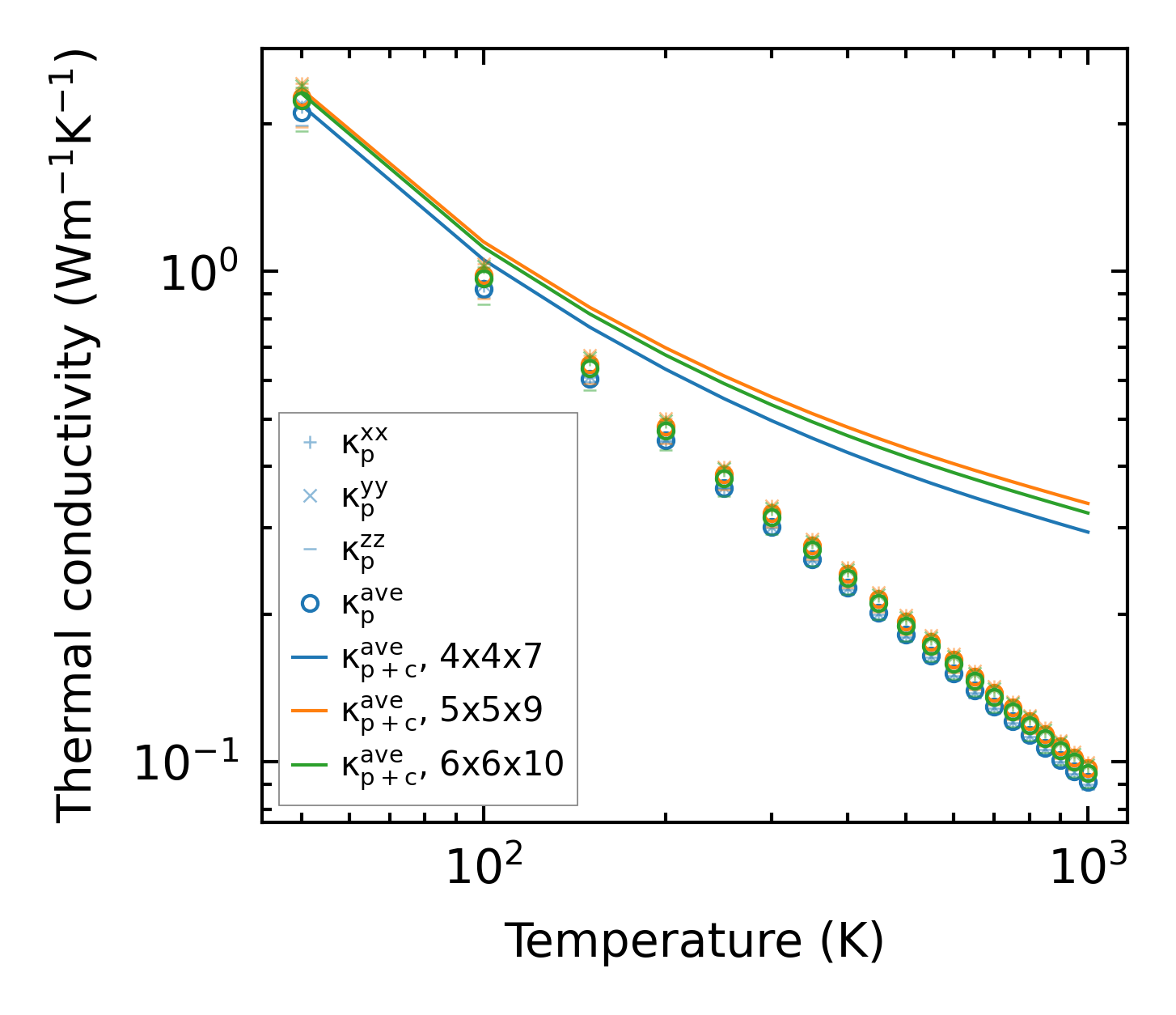
Thermal conductivity

3-phonon (LASSO) — q-mesh: 6x6x10, supercell: 1x1x2

../../_images/fig_kappa9430.png

(a) Temperature-dependent lattice thermal conductivity

../../_images/fig_kappa_vs_grain_size5063.png

(b) Peierls lattice thermal conductivity w.r.t grain size

Phonon lifetime and scattering rates

../../_images/fig_lifetime4954.png

(a) Phonon lifetime due to phonon-phonon scattering

../../_images/fig_scat_rates4953.png

(b) Phonon scattering rates

Cumulative and spectral thermal conductivity

../../_images/fig_cumu_frequency4954.png

(a) Spectral and cumulative thermal conductivity w.r.t frequency

../../_images/fig_cumu_mfp4953.png

(b) Spectral and cumulative thermal conductivity w.r.t MFP

Force constants

../../_images/fig_fc211708.png

(a) Force constants w.r.t atomic distance

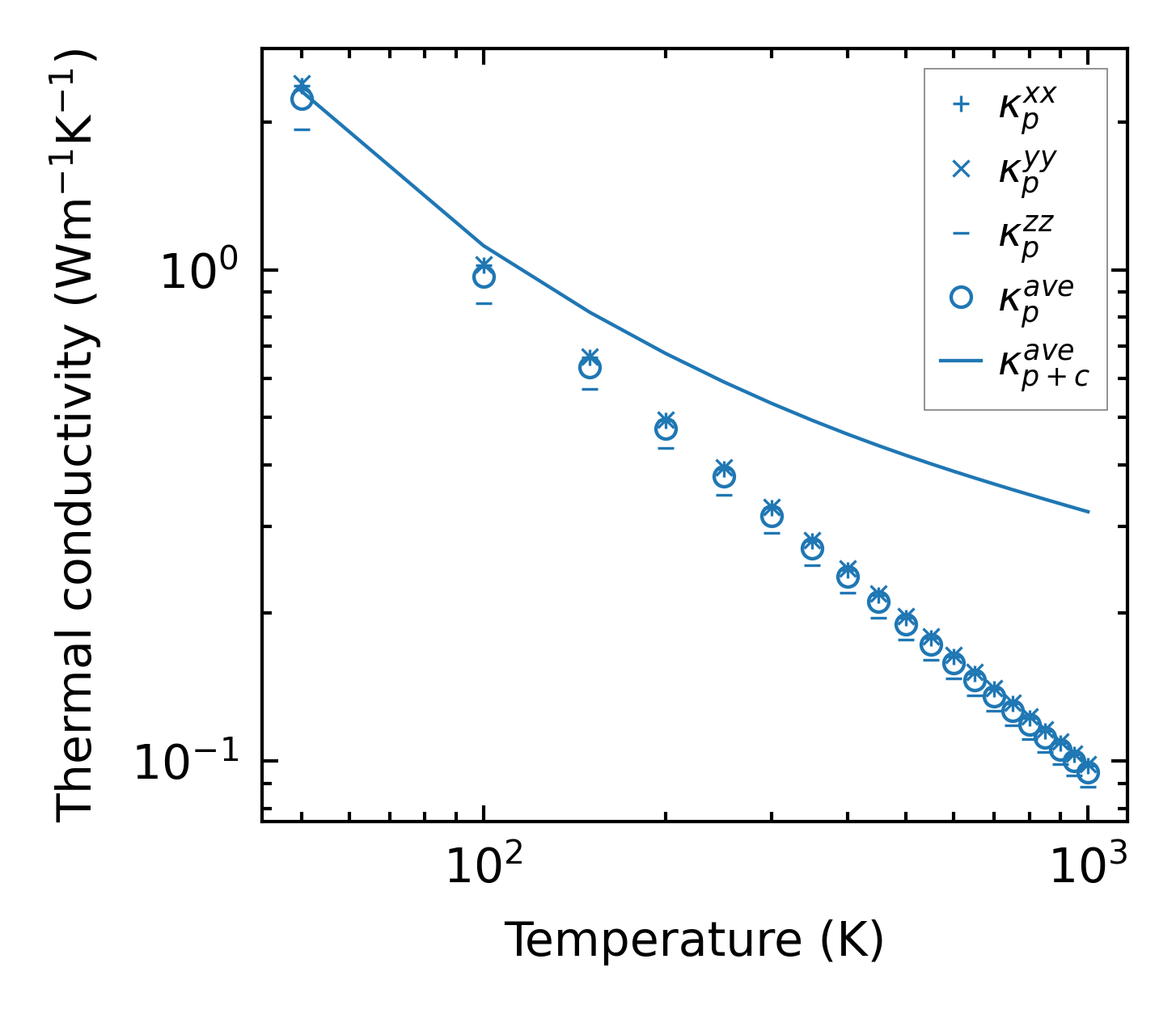
Summary

../../_images/fig_kappa9431.png

(a) Temperature-dependent lattice thermal conductivity

../../_images/fig_times20352.png

(b) Computation time