mp-28007-2/BaHgS2/anharm

Equation of state

../../_images/fig_bm5863.png

(a) Equation of state

Harmonic properties

../../_images/fig_bandos_pr11999.png

(a) Phonon dispersion with participation ratio and DOS

../../_images/fig_bandos16056.png

(b) Phonon dispersion and DOS

../../_images/fig_thermo11999.png

(c) Thermodynamic properties

Grüneisen parameters

../../_images/fig_gru_all5002.png

(a) Grüneisen parameters

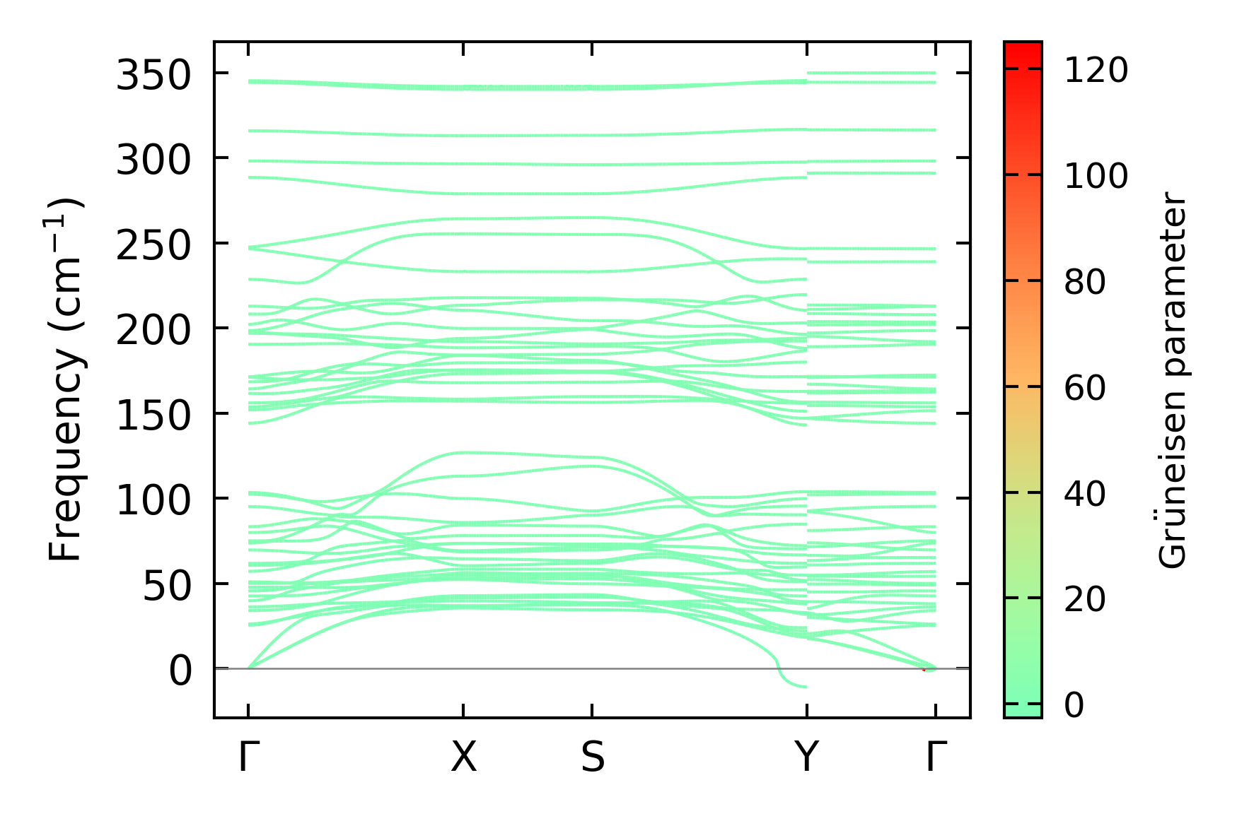
../../_images/fig_gruneisen5002.png

(b) Phonon dispersion with Grüneisen parameters

Thermal conductivity

3-phonon (LASSO), supercell 4x2x2 — q-mesh: 17x5x9, supercell: 4x2x2

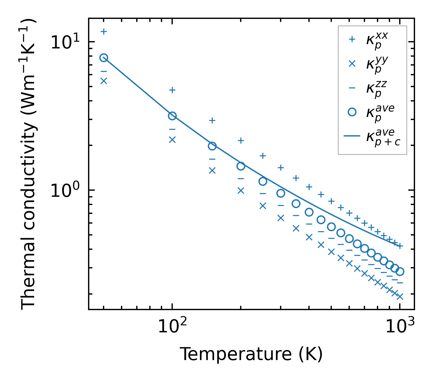
../../_images/fig_kappa9428.png

(a) Temperature-dependent lattice thermal conductivity

../../_images/fig_kappa_vs_grain_size5061.png

(b) Peierls lattice thermal conductivity w.r.t grain size

Phonon lifetime and scattering rates

../../_images/fig_lifetime4952.png

(a) Phonon lifetime due to phonon-phonon scattering

../../_images/fig_scat_rates4951.png

(b) Phonon scattering rates

Cumulative and spectral thermal conductivity

../../_images/fig_cumu_frequency4952.png

(a) Spectral and cumulative thermal conductivity w.r.t frequency

../../_images/fig_cumu_mfp4951.png

(b) Spectral and cumulative thermal conductivity w.r.t MFP

Force constants

../../_images/fig_fc211702.png

(a) Force constants w.r.t atomic distance

Summary

../../_images/fig_times20343.png

(a) Computation time