mp-28276/K2PrBr5/anharm

Harmonic properties

../../_images/fig_bandos_pr11787.png

(a) Phonon dispersion with participation ratio and DOS

../../_images/fig_thermo11787.png

(b) Thermodynamic properties

Grüneisen parameters

../../_images/fig_gru_all4909.png

(a) Grüneisen parameters

../../_images/fig_gruneisen4909.png

(b) Phonon dispersion with Grüneisen parameters

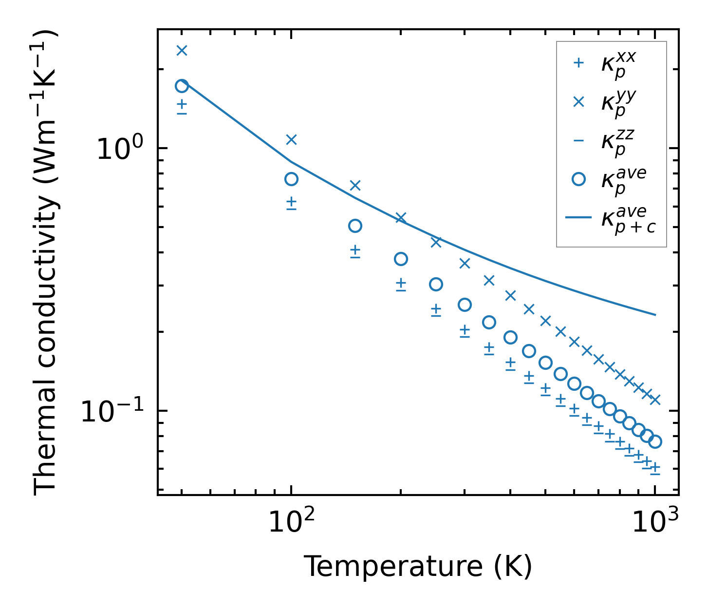
Thermal conductivity

3-phonon (LASSO) — q-mesh: 5x7x8, supercell: 1x2x2

../../_images/fig_kappa9253.png

(a) Temperature-dependent lattice thermal conductivity

../../_images/fig_kappa_vs_grain_size4966.png

(b) Peierls lattice thermal conductivity w.r.t grain size

Phonon lifetime and scattering rates

../../_images/fig_lifetime4860.png

(a) Phonon lifetime due to phonon-phonon scattering

../../_images/fig_scat_rates4859.png

(b) Phonon scattering rates

Cumulative and spectral thermal conductivity

../../_images/fig_cumu_frequency4860.png

(a) Spectral and cumulative thermal conductivity w.r.t frequency

../../_images/fig_cumu_mfp4859.png

(b) Spectral and cumulative thermal conductivity w.r.t MFP

Force constants

../../_images/fig_fc211498.png

(a) Force constants w.r.t atomic distance

Summary

../../_images/fig_kappa9254.png

(a) Temperature-dependent lattice thermal conductivity

../../_images/fig_times20004.png

(b) Computation time