mp-28582/CsB3H8/anharm

Equation of state

../../_images/fig_bm5641.png

(a) Equation of state

Harmonic properties

../../_images/fig_bandos_pr11547.png

(a) Phonon dispersion with participation ratio and DOS

../../_images/fig_thermo11547.png

(b) Thermodynamic properties

Grüneisen parameters

../../_images/fig_gru_all4793.png

(a) Grüneisen parameters

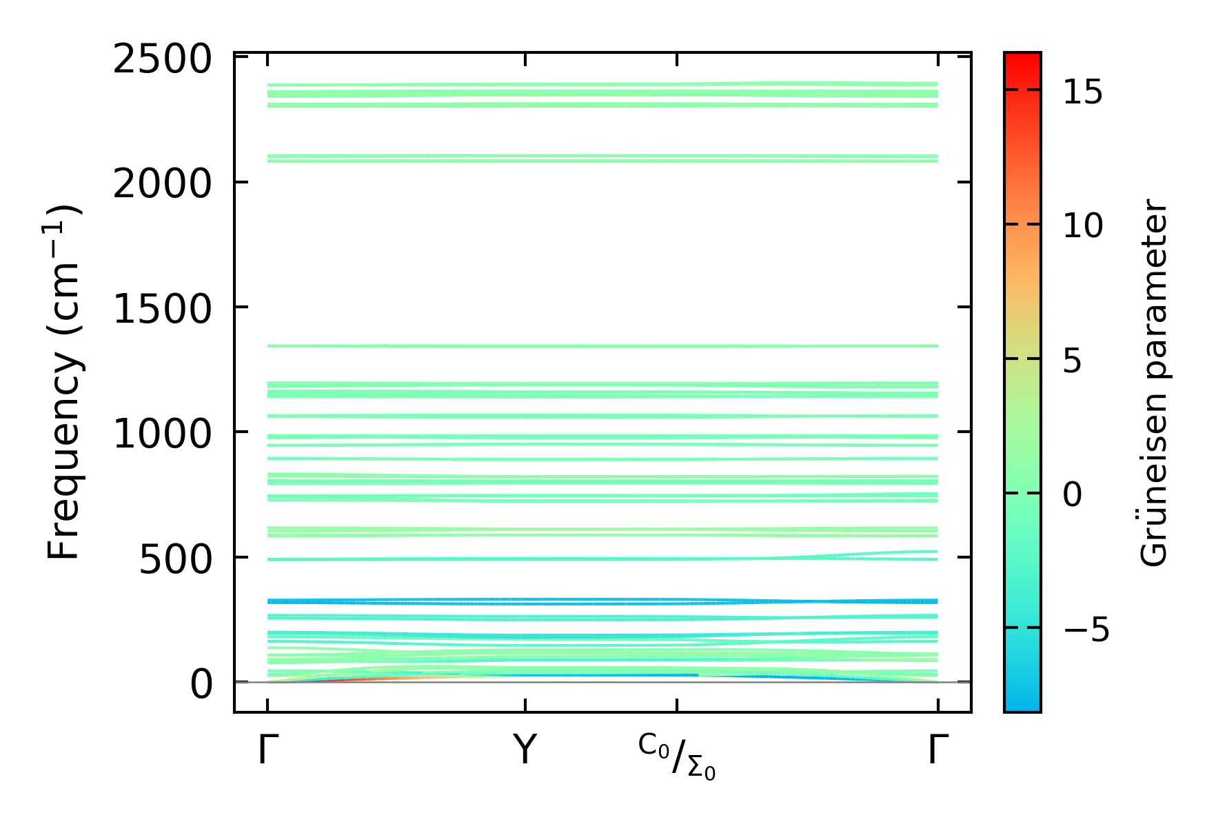
../../_images/fig_gruneisen4793.png

(b) Phonon dispersion with Grüneisen parameters

Thermal conductivity

3-phonon (LASSO) — q-mesh: 12x12x8, supercell: 2x1x1

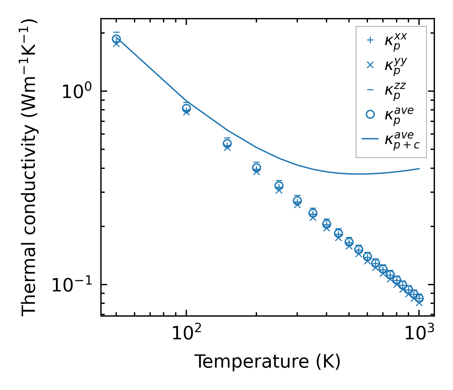
../../_images/fig_kappa9043.png

(a) Temperature-dependent lattice thermal conductivity

../../_images/fig_kappa_vs_grain_size4851.png

(b) Peierls lattice thermal conductivity w.r.t grain size

Phonon lifetime and scattering rates

../../_images/fig_lifetime4747.png

(a) Phonon lifetime due to phonon-phonon scattering

../../_images/fig_scat_rates4746.png

(b) Phonon scattering rates

Cumulative and spectral thermal conductivity

../../_images/fig_cumu_frequency4747.png

(a) Spectral and cumulative thermal conductivity w.r.t frequency

../../_images/fig_cumu_mfp4746.png

(b) Spectral and cumulative thermal conductivity w.r.t MFP

Force constants

../../_images/fig_fc211261.png

(a) Force constants w.r.t atomic distance

Summary

../../_images/fig_kappa9044.png

(a) Temperature-dependent lattice thermal conductivity

../../_images/fig_times19669.png

(b) Computation time