mp-28158/K4Be3O5/anharm

Harmonic properties

../../_images/fig_bandos_pr11731.png

(a) Phonon dispersion with participation ratio and DOS

../../_images/fig_thermo11731.png

(b) Thermodynamic properties

Grüneisen parameters

../../_images/fig_gru_all4889.png

(a) Grüneisen parameters

../../_images/fig_gruneisen4889.png

(b) Phonon dispersion with Grüneisen parameters

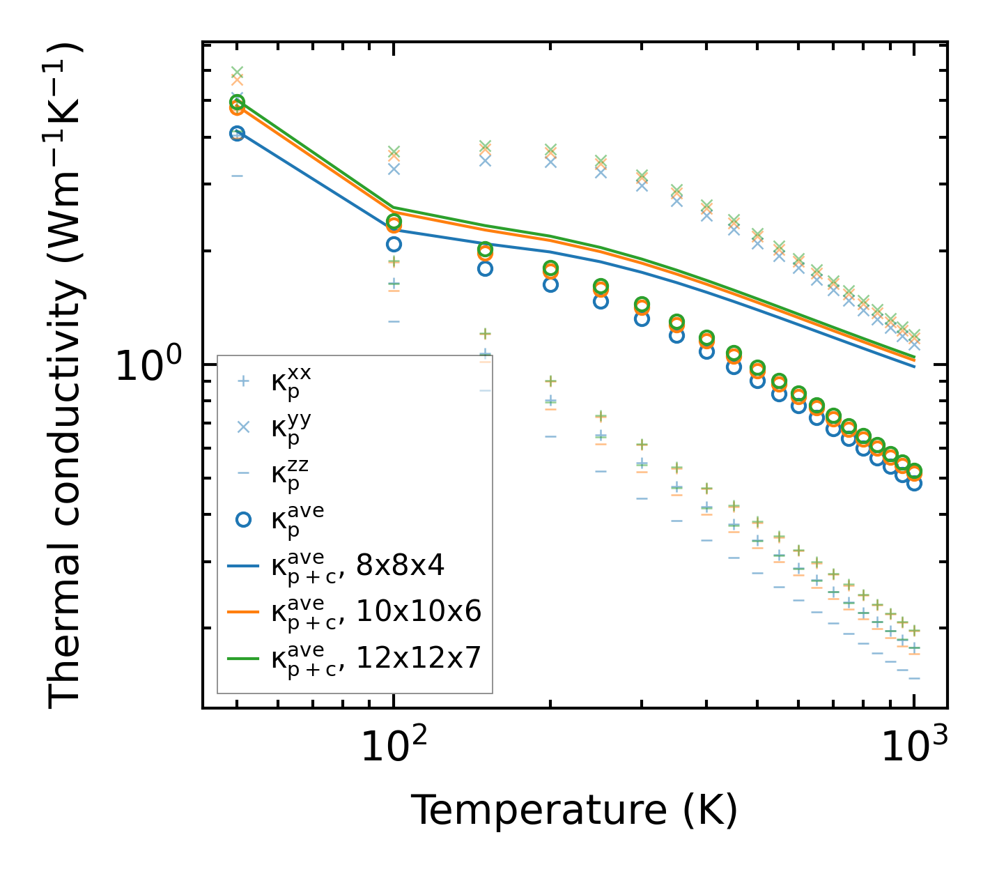
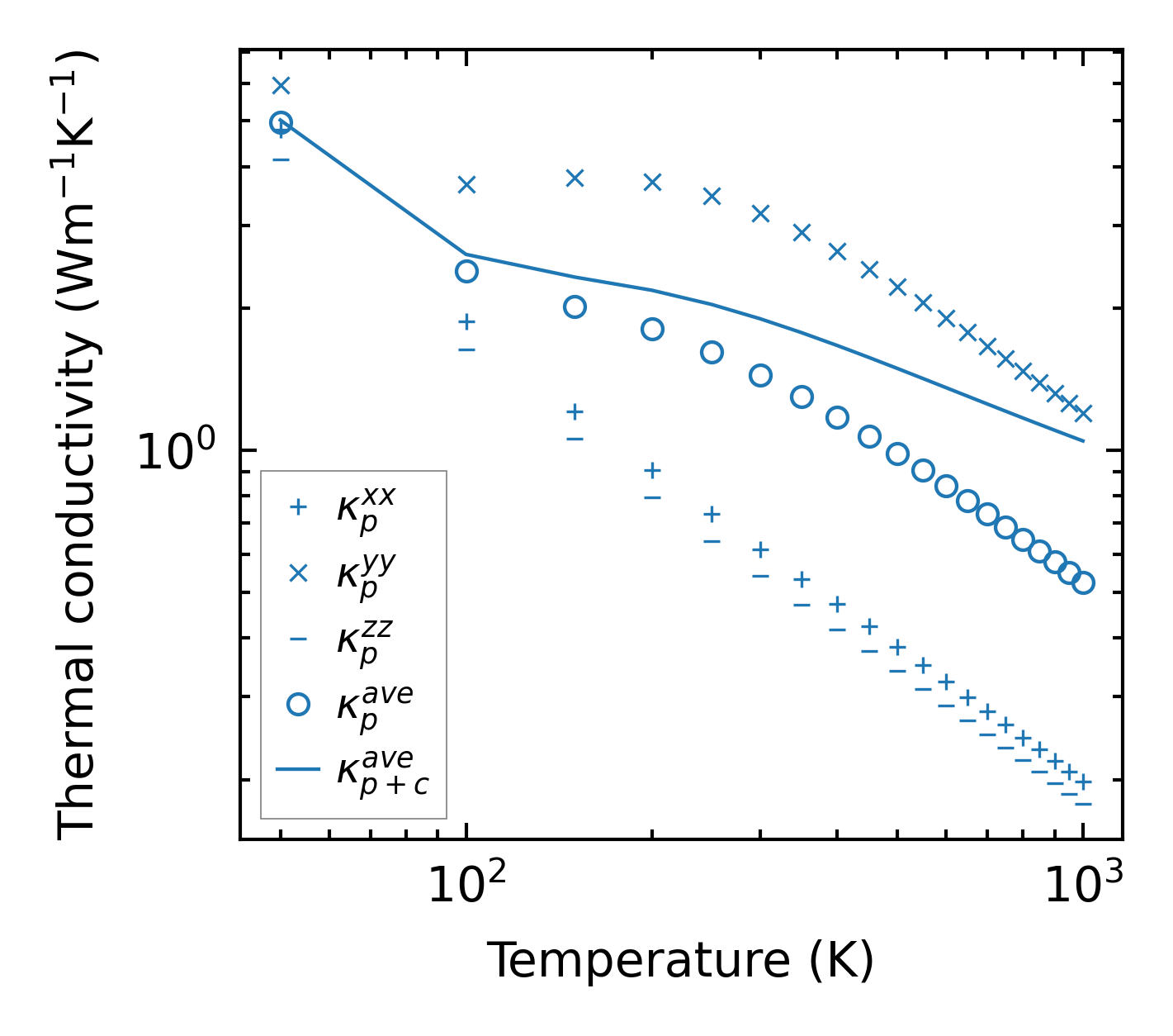
Thermal conductivity

3-phonon (LASSO) — q-mesh: 12x12x7, supercell: 1x2x1

../../_images/fig_kappa9213.png

(a) Temperature-dependent lattice thermal conductivity

../../_images/fig_kappa_vs_grain_size4945.png

(b) Peierls lattice thermal conductivity w.r.t grain size

Phonon lifetime and scattering rates

../../_images/fig_lifetime4840.png

(a) Phonon lifetime due to phonon-phonon scattering

../../_images/fig_scat_rates4839.png

(b) Phonon scattering rates

Cumulative and spectral thermal conductivity

../../_images/fig_cumu_frequency4840.png

(a) Spectral and cumulative thermal conductivity w.r.t frequency

../../_images/fig_cumu_mfp4839.png

(b) Spectral and cumulative thermal conductivity w.r.t MFP

Force constants

../../_images/fig_fc211442.png

(a) Force constants w.r.t atomic distance

Summary

../../_images/fig_kappa9214.png

(a) Temperature-dependent lattice thermal conductivity

../../_images/fig_times19924.png

(b) Computation time