mp-28368/TlAuCl4/anharm

Harmonic properties

../../_images/fig_bandos_pr11825.png

(a) Phonon dispersion with participation ratio and DOS

../../_images/fig_thermo11825.png

(b) Thermodynamic properties

Grüneisen parameters

../../_images/fig_gru_all4927.png

(a) Grüneisen parameters

../../_images/fig_gruneisen4927.png

(b) Phonon dispersion with Grüneisen parameters

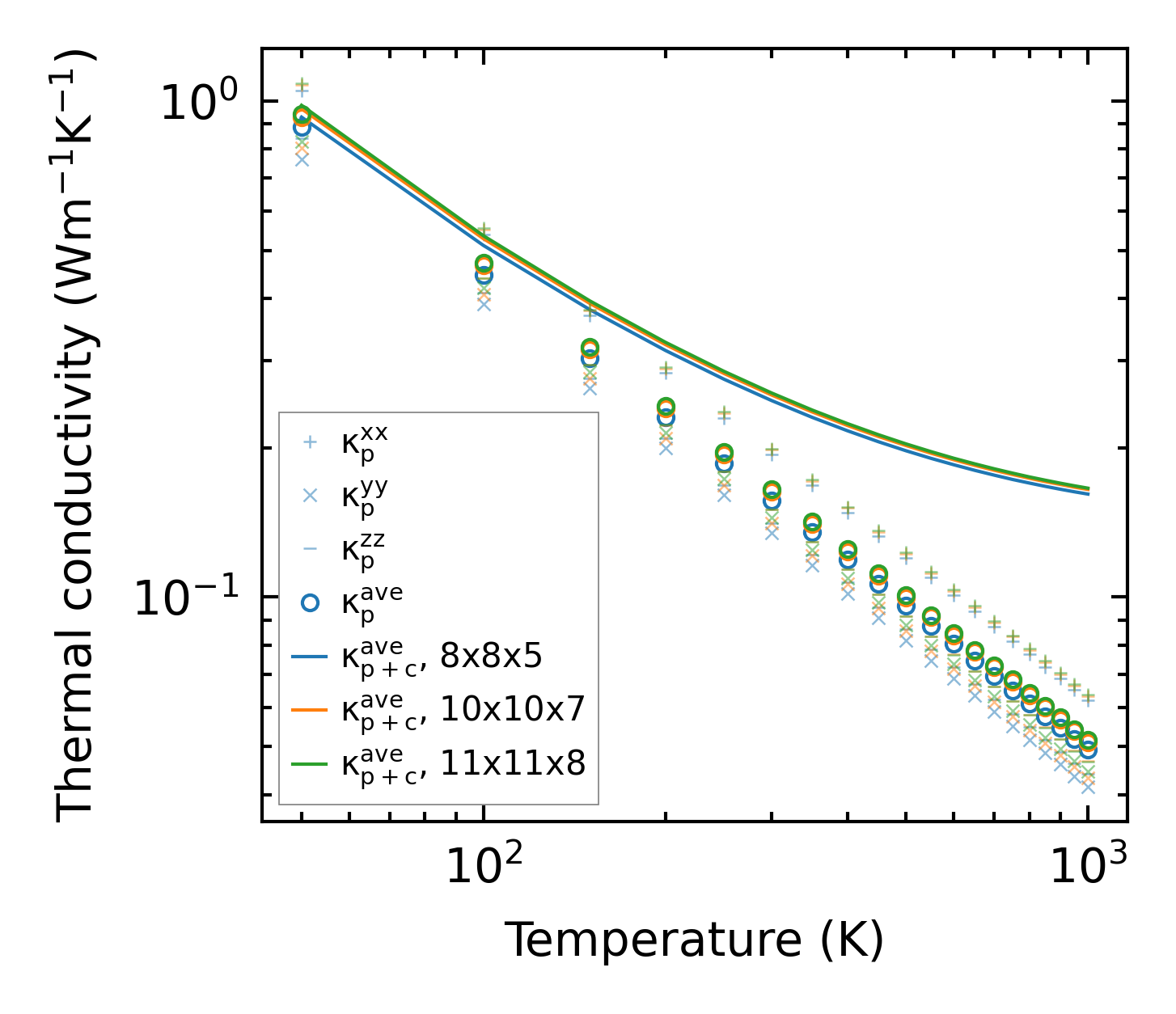
Thermal conductivity

3-phonon (LASSO) — q-mesh: 11x11x8, supercell: 1x3x2

../../_images/fig_kappa9290.png

(a) Temperature-dependent lattice thermal conductivity

../../_images/fig_kappa_vs_grain_size4985.png

(b) Peierls lattice thermal conductivity w.r.t grain size

Phonon lifetime and scattering rates

../../_images/fig_lifetime4878.png

(a) Phonon lifetime due to phonon-phonon scattering

../../_images/fig_scat_rates4877.png

(b) Phonon scattering rates

Cumulative and spectral thermal conductivity

../../_images/fig_cumu_frequency4878.png

(a) Spectral and cumulative thermal conductivity w.r.t frequency

../../_images/fig_cumu_mfp4877.png

(b) Spectral and cumulative thermal conductivity w.r.t MFP

Force constants

../../_images/fig_fc211536.png

(a) Force constants w.r.t atomic distance

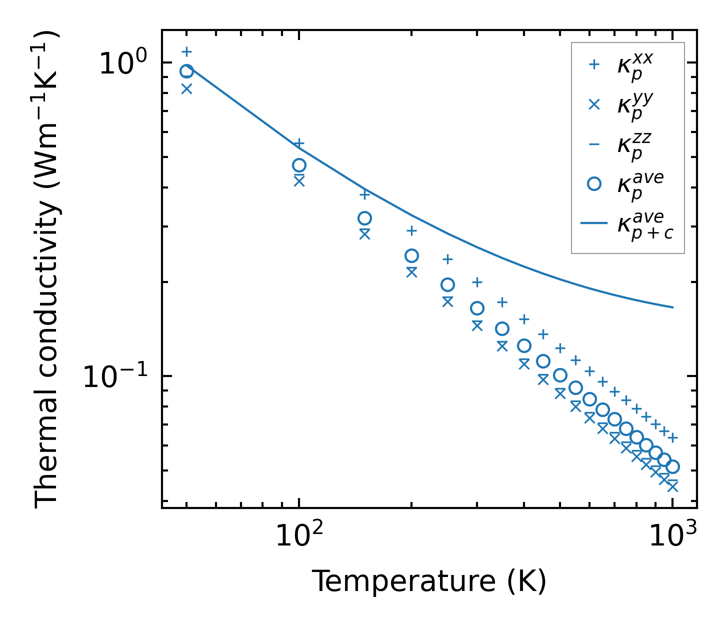
Summary

../../_images/fig_kappa9291.png

(a) Temperature-dependent lattice thermal conductivity

../../_images/fig_times20062.png

(b) Computation time