mp-28693-2/Al3Te3I/anharm

Equation of state

../../_images/fig_bm5661.png

(a) Equation of state

Harmonic properties

../../_images/fig_bandos_pr11591.png

(a) Phonon dispersion with participation ratio and DOS

../../_images/fig_bandos15597.png

(b) Phonon dispersion and DOS

../../_images/fig_thermo11591.png

(c) Thermodynamic properties

Grüneisen parameters

../../_images/fig_gru_all4821.png

(a) Grüneisen parameters

../../_images/fig_gruneisen4821.png

(b) Phonon dispersion with Grüneisen parameters

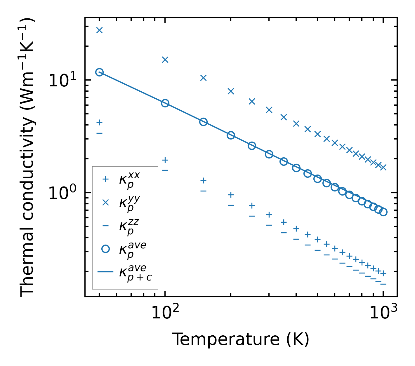
Thermal conductivity

3-phonon (LASSO), supercell 2x3x1 — q-mesh: 6x17x3, supercell: 2x3x1

../../_images/fig_kappa9094.png

(a) Temperature-dependent lattice thermal conductivity

../../_images/fig_kappa_vs_grain_size4879.png

(b) Peierls lattice thermal conductivity w.r.t grain size

Phonon lifetime and scattering rates

../../_images/fig_lifetime4774.png

(a) Phonon lifetime due to phonon-phonon scattering

../../_images/fig_scat_rates4773.png

(b) Phonon scattering rates

Cumulative and spectral thermal conductivity

../../_images/fig_cumu_frequency4774.png

(a) Spectral and cumulative thermal conductivity w.r.t frequency

../../_images/fig_cumu_mfp4773.png

(b) Spectral and cumulative thermal conductivity w.r.t MFP

Force constants

../../_images/fig_fc211303.png

(a) Force constants w.r.t atomic distance

Summary

../../_images/fig_times19735.png

(a) Computation time