mp-28590/Hg4As2I3/anharm

Harmonic properties

../../_images/fig_bandos_pr11553.png

(a) Phonon dispersion with participation ratio and DOS

../../_images/fig_thermo11553.png

(b) Thermodynamic properties

Grüneisen parameters

../../_images/fig_gru_all4798.png

(a) Grüneisen parameters

../../_images/fig_gruneisen4798.png

(b) Phonon dispersion with Grüneisen parameters

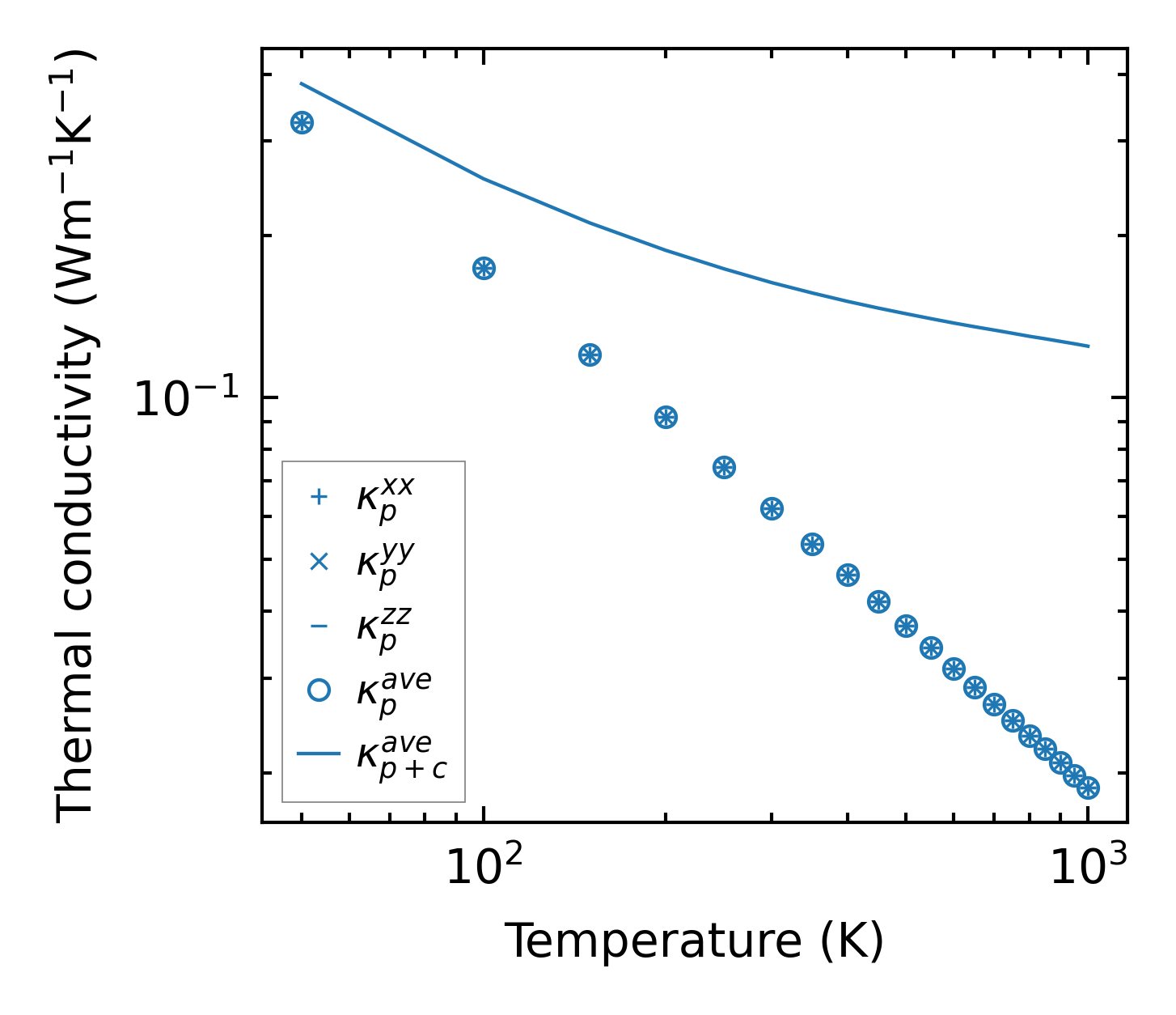
Thermal conductivity

3-phonon (LASSO) — q-mesh: 5x5x5, supercell: 1x1x1

../../_images/fig_kappa9051.png

(a) Temperature-dependent lattice thermal conductivity

../../_images/fig_kappa_vs_grain_size4856.png

(b) Peierls lattice thermal conductivity w.r.t grain size

Phonon lifetime and scattering rates

../../_images/fig_lifetime4752.png

(a) Phonon lifetime due to phonon-phonon scattering

../../_images/fig_scat_rates4751.png

(b) Phonon scattering rates

Cumulative and spectral thermal conductivity

../../_images/fig_cumu_frequency4752.png

(a) Spectral and cumulative thermal conductivity w.r.t frequency

../../_images/fig_cumu_mfp4751.png

(b) Spectral and cumulative thermal conductivity w.r.t MFP

Force constants

../../_images/fig_fc211267.png

(a) Force constants w.r.t atomic distance

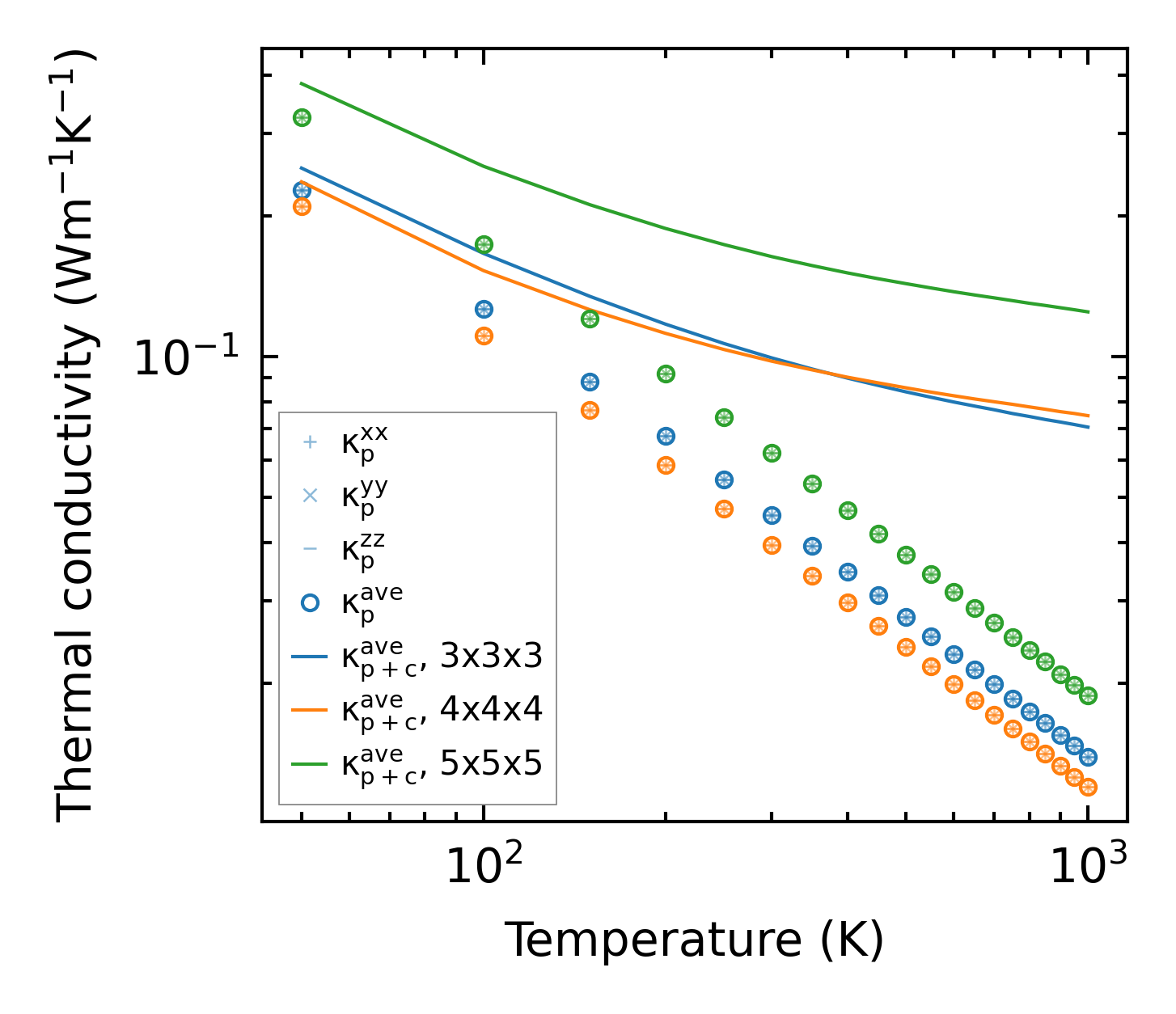
Summary

../../_images/fig_kappa9052.png

(a) Temperature-dependent lattice thermal conductivity

../../_images/fig_times19680.png

(b) Computation time