mp-28384-2/GaBr2/anharm

Equation of state

../../_images/fig_bm5770.png

(a) Equation of state

Harmonic properties

../../_images/fig_bandos_pr11834.png

(a) Phonon dispersion with participation ratio and DOS

../../_images/fig_thermo11834.png

(b) Thermodynamic properties

Grüneisen parameters

../../_images/fig_gru_all4930.png

(a) Grüneisen parameters

../../_images/fig_gruneisen4930.png

(b) Phonon dispersion with Grüneisen parameters

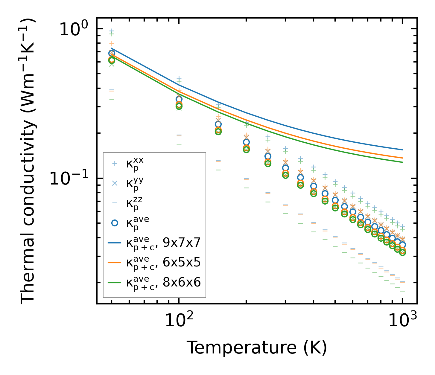
Thermal conductivity

3-phonon (LASSO) — q-mesh: 9x7x7, supercell: 2x2x1

../../_images/fig_kappa9296.png

(a) Temperature-dependent lattice thermal conductivity

../../_images/fig_kappa_vs_grain_size4988.png

(b) Peierls lattice thermal conductivity w.r.t grain size

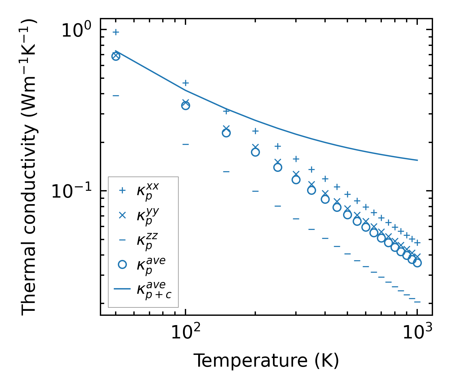
3-phonon (LASSO), supercell 2x2x2 — q-mesh: 9x7x7, supercell: 2x2x2

../../_images/fig_kappa9297.png

(a) Temperature-dependent lattice thermal conductivity

../../_images/fig_kappa_vs_grain_size4989.png

(b) Peierls lattice thermal conductivity w.r.t grain size

Phonon lifetime and scattering rates

../../_images/fig_lifetime4881.png

(a) Phonon lifetime due to phonon-phonon scattering

../../_images/fig_scat_rates4880.png

(b) Phonon scattering rates

Cumulative and spectral thermal conductivity

../../_images/fig_cumu_frequency4881.png

(a) Spectral and cumulative thermal conductivity w.r.t frequency

../../_images/fig_cumu_mfp4880.png

(b) Spectral and cumulative thermal conductivity w.r.t MFP

Force constants

../../_images/fig_fc211545.png

(a) Force constants w.r.t atomic distance

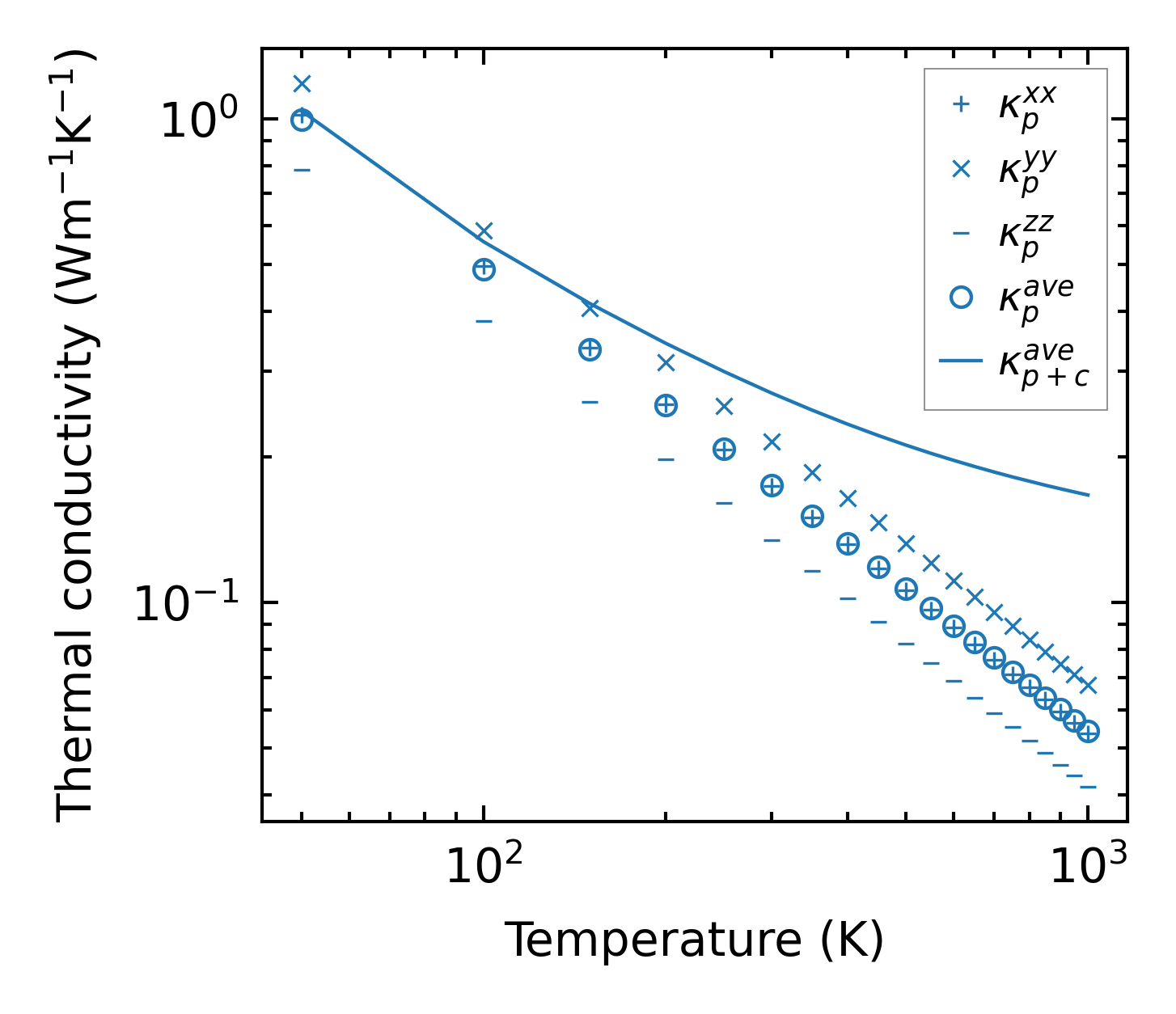
Summary

../../_images/fig_kappa9298.png

(a) Temperature-dependent lattice thermal conductivity

../../_images/fig_times20078.png

(b) Computation time