mp-28377/CsGeI3/harm

Harmonic properties

../../_images/fig_bandos_pr11831.png

(a) Phonon dispersion with participation ratio and DOS

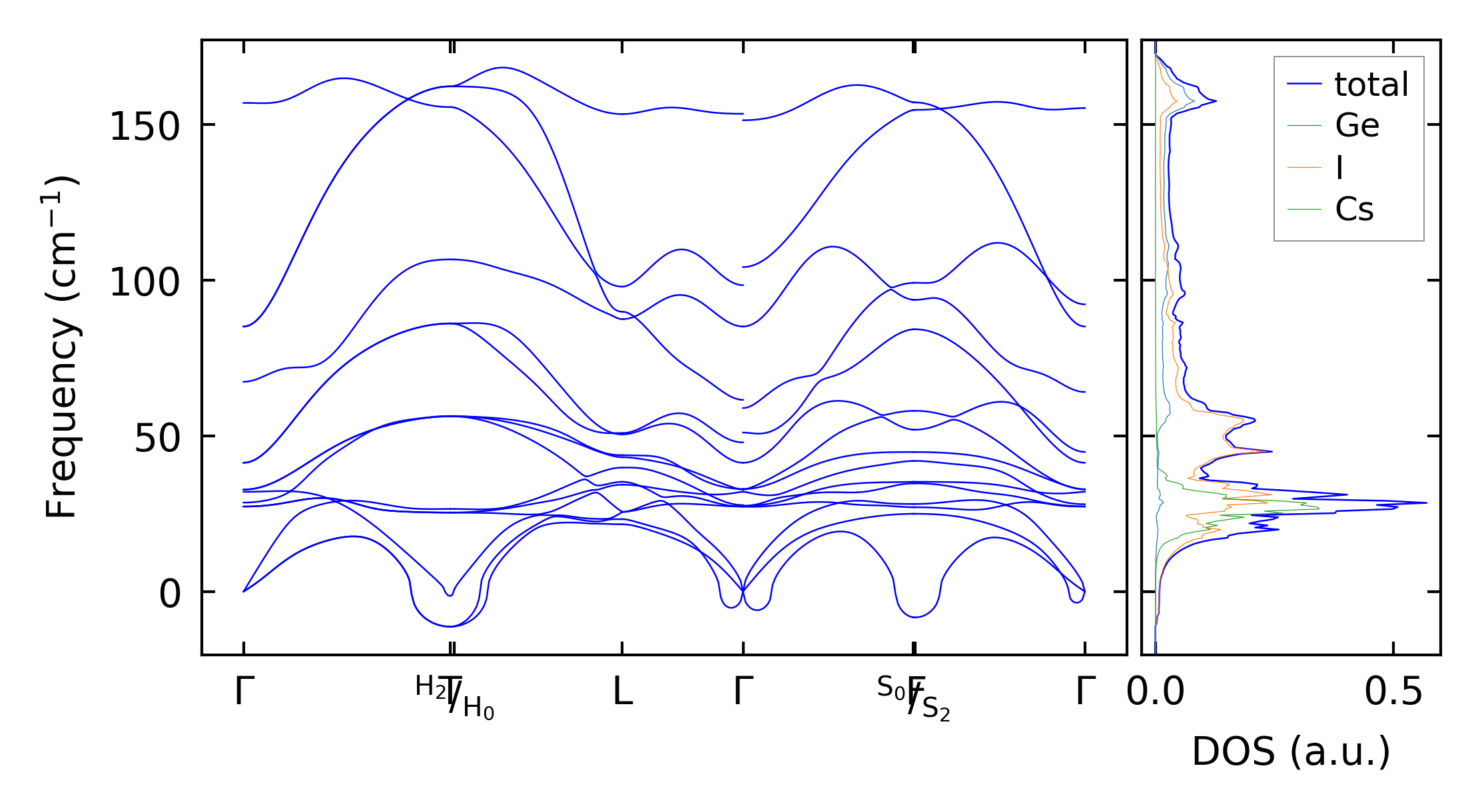
../../_images/fig_bandos15843.png

(b) Phonon dispersion and DOS

../../_images/fig_thermo11831.png

(c) Thermodynamic properties

Force constants

../../_images/fig_fc211542.png

(a) Force constants w.r.t atomic distance

Summary

../../_images/fig_times20069.png

(a) Computation time