mp-28126-2/K2GeTe4/anharm

Equation of state

../../_images/fig_bm5711.png

(a) Equation of state

Harmonic properties

../../_images/fig_bandos_pr11709.png

(a) Phonon dispersion with participation ratio and DOS

../../_images/fig_bandos15711.png

(b) Phonon dispersion and DOS

../../_images/fig_thermo11709.png

(c) Thermodynamic properties

Grüneisen parameters

../../_images/fig_gru_all4882.png

(a) Grüneisen parameters

../../_images/fig_gruneisen4882.png

(b) Phonon dispersion with Grüneisen parameters

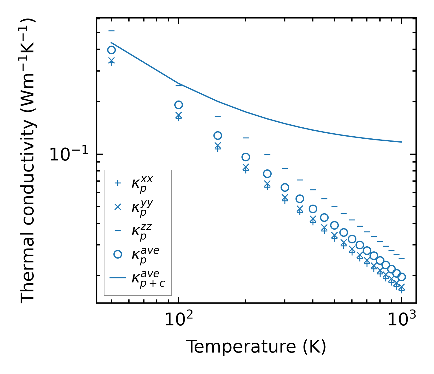
Thermal conductivity

3-phonon (LASSO), supercell 2x2x2 — q-mesh: 5x8x7, supercell: 2x2x2

../../_images/fig_kappa9204.png

(a) Temperature-dependent lattice thermal conductivity

../../_images/fig_kappa_vs_grain_size4938.png

(b) Peierls lattice thermal conductivity w.r.t grain size

Phonon lifetime and scattering rates

../../_images/fig_lifetime4833.png

(a) Phonon lifetime due to phonon-phonon scattering

../../_images/fig_scat_rates4832.png

(b) Phonon scattering rates

Cumulative and spectral thermal conductivity

../../_images/fig_cumu_frequency4833.png

(a) Spectral and cumulative thermal conductivity w.r.t frequency

../../_images/fig_cumu_mfp4832.png

(b) Spectral and cumulative thermal conductivity w.r.t MFP

Force constants

../../_images/fig_fc211420.png

(a) Force constants w.r.t atomic distance

Summary

../../_images/fig_times19898.png

(a) Computation time