mp-28606/K3AuSe13/anharm

Equation of state

../../_images/fig_bm5646.png

(a) Equation of state

Harmonic properties

../../_images/fig_bandos_pr11561.png

(a) Phonon dispersion with participation ratio and DOS

../../_images/fig_thermo11561.png

(b) Thermodynamic properties

Grüneisen parameters

../../_images/fig_gru_all4806.png

(a) Grüneisen parameters

../../_images/fig_gruneisen4806.png

(b) Phonon dispersion with Grüneisen parameters

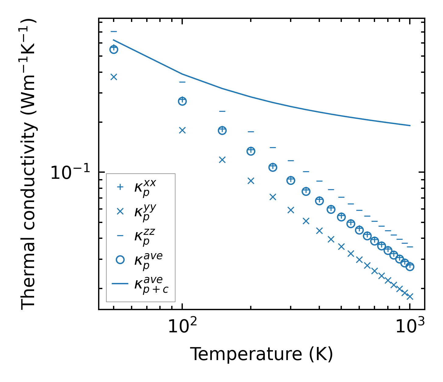
Thermal conductivity

3-phonon (LASSO) — q-mesh: 4x14x5, supercell: 1x3x1

../../_images/fig_kappa9067.png

(a) Temperature-dependent lattice thermal conductivity

../../_images/fig_kappa_vs_grain_size4864.png

(b) Peierls lattice thermal conductivity w.r.t grain size

Phonon lifetime and scattering rates

../../_images/fig_lifetime4760.png

(a) Phonon lifetime due to phonon-phonon scattering

../../_images/fig_scat_rates4759.png

(b) Phonon scattering rates

Cumulative and spectral thermal conductivity

../../_images/fig_cumu_frequency4760.png

(a) Spectral and cumulative thermal conductivity w.r.t frequency

../../_images/fig_cumu_mfp4759.png

(b) Spectral and cumulative thermal conductivity w.r.t MFP

Force constants

../../_images/fig_fc211274.png

(a) Force constants w.r.t atomic distance

Summary

../../_images/fig_kappa9068.png

(a) Temperature-dependent lattice thermal conductivity

../../_images/fig_times19690.png

(b) Computation time