mp-28680-2/KGaBr4/harm

Equation of state

../../_images/fig_bm5659.png

(a) Equation of state

Harmonic properties

../../_images/fig_bandos_pr11586.png

(a) Phonon dispersion with participation ratio and DOS

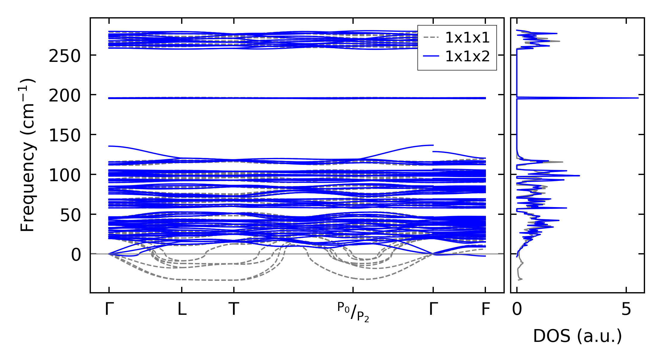
../../_images/fig_bandos15594.png

(b) Phonon dispersion and DOS

../../_images/fig_thermo11586.png

(c) Thermodynamic properties

Force constants

../../_images/fig_fc211298.png

(a) Force constants w.r.t atomic distance

Summary

../../_images/fig_times19728.png

(a) Computation time