mp-28168/Th6CBr14/anharm

Harmonic properties

../../_images/fig_bandos_pr11739.png

(a) Phonon dispersion with participation ratio and DOS

../../_images/fig_thermo11739.png

(b) Thermodynamic properties

Grüneisen parameters

../../_images/fig_gru_all4891.png

(a) Grüneisen parameters

../../_images/fig_gruneisen4891.png

(b) Phonon dispersion with Grüneisen parameters

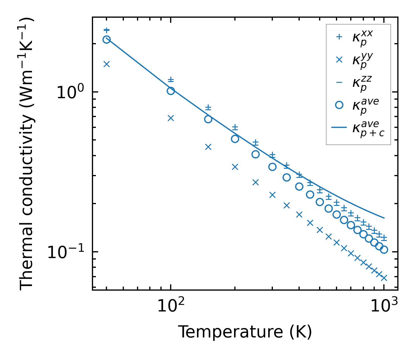
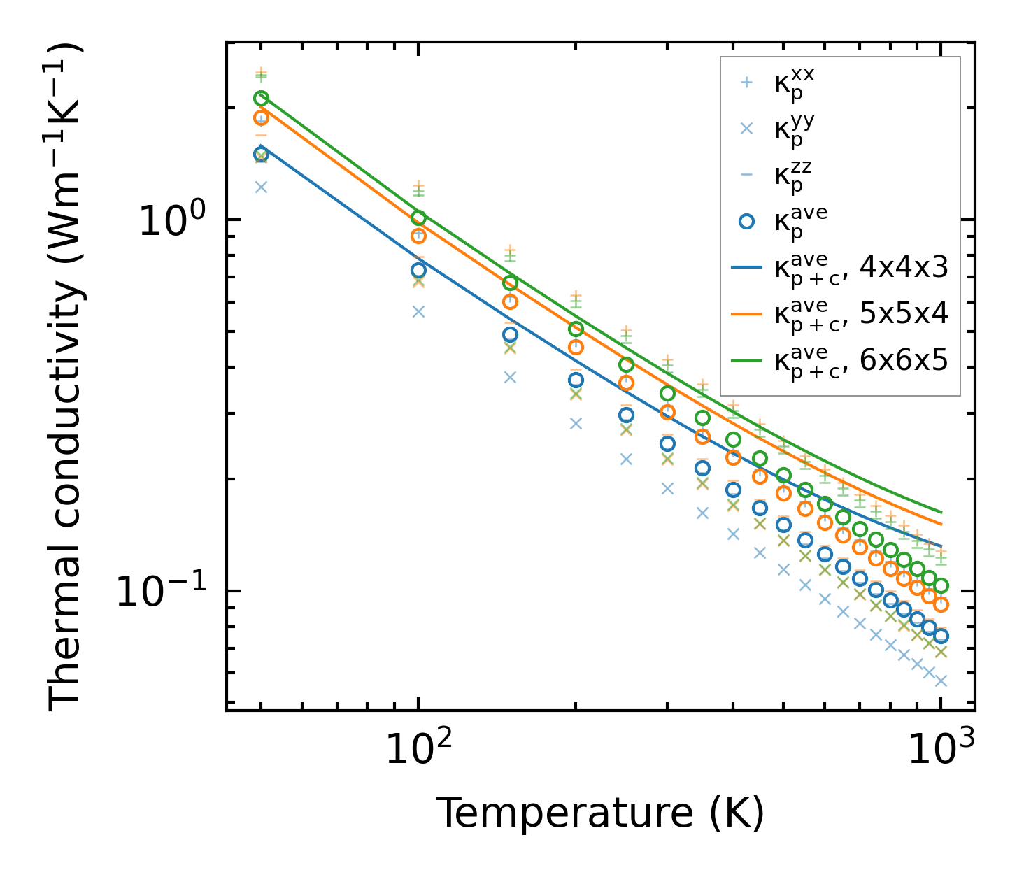
Thermal conductivity

3-phonon (LASSO) — q-mesh: 6x6x5, supercell: 1x1x1

../../_images/fig_kappa9217.png

(a) Temperature-dependent lattice thermal conductivity

../../_images/fig_kappa_vs_grain_size4947.png

(b) Peierls lattice thermal conductivity w.r.t grain size

Phonon lifetime and scattering rates

../../_images/fig_lifetime4842.png

(a) Phonon lifetime due to phonon-phonon scattering

../../_images/fig_scat_rates4841.png

(b) Phonon scattering rates

Cumulative and spectral thermal conductivity

../../_images/fig_cumu_frequency4842.png

(a) Spectral and cumulative thermal conductivity w.r.t frequency

../../_images/fig_cumu_mfp4841.png

(b) Spectral and cumulative thermal conductivity w.r.t MFP

Force constants

../../_images/fig_fc211450.png

(a) Force constants w.r.t atomic distance

Summary

../../_images/fig_kappa9218.png

(a) Temperature-dependent lattice thermal conductivity

../../_images/fig_times19935.png

(b) Computation time