mp-28745/Nb2Te6I/anharm

Harmonic properties

../../_images/fig_bandos_pr11618.png

(a) Phonon dispersion with participation ratio and DOS

../../_images/fig_bandos15615.png

(b) Phonon dispersion and DOS

../../_images/fig_thermo11618.png

(c) Thermodynamic properties

Grüneisen parameters

../../_images/fig_gru_all4836.png

(a) Grüneisen parameters

../../_images/fig_gruneisen4836.png

(b) Phonon dispersion with Grüneisen parameters

Thermal conductivity

3-phonon (LASSO) — q-mesh: 8x5x7, supercell: 2x1x2

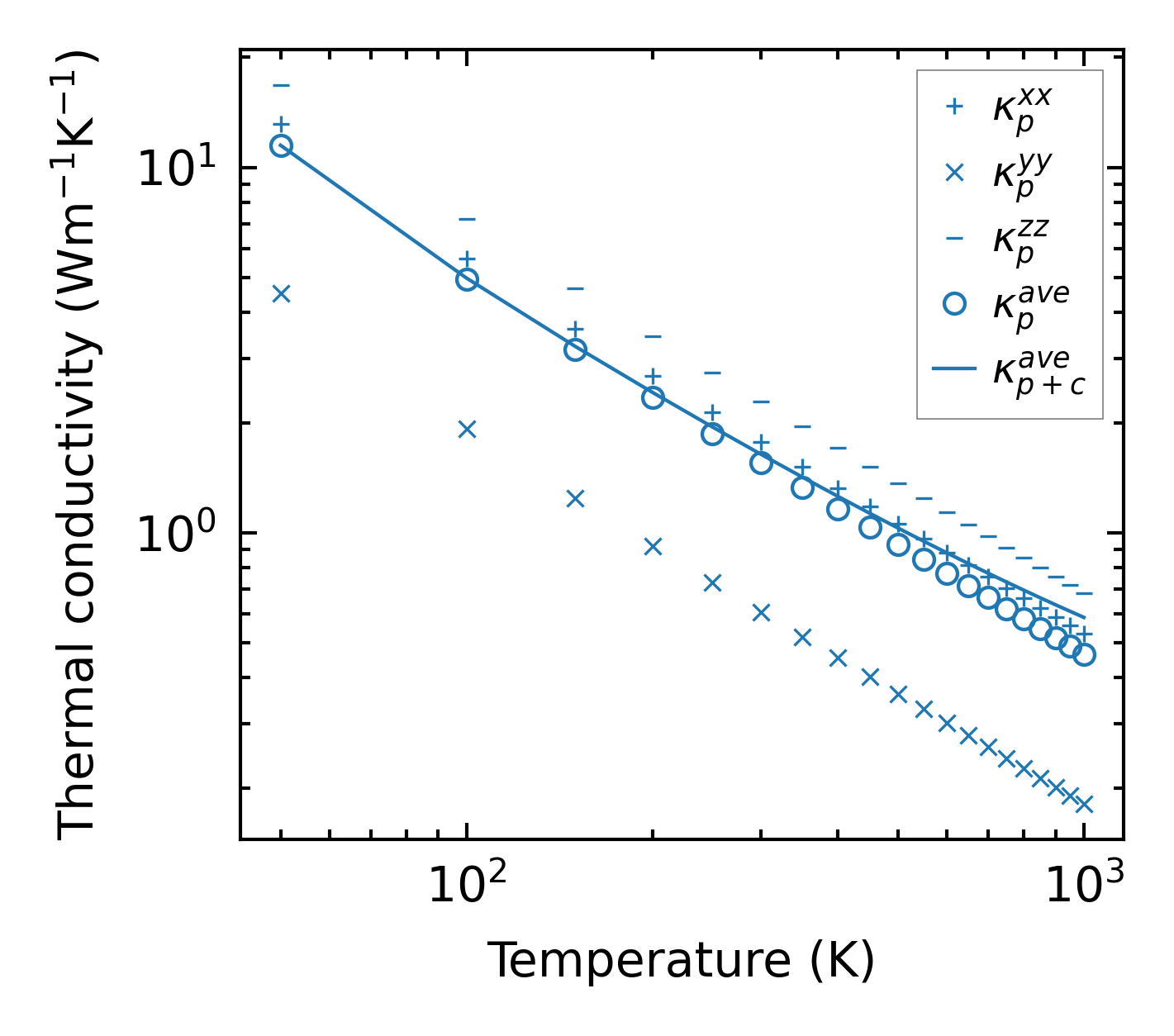
../../_images/fig_kappa9122.png

(a) Temperature-dependent lattice thermal conductivity

../../_images/fig_kappa_vs_grain_size4894.png

(b) Peierls lattice thermal conductivity w.r.t grain size

Phonon lifetime and scattering rates

../../_images/fig_lifetime4789.png

(a) Phonon lifetime due to phonon-phonon scattering

../../_images/fig_scat_rates4788.png

(b) Phonon scattering rates

Cumulative and spectral thermal conductivity

../../_images/fig_cumu_frequency4789.png

(a) Spectral and cumulative thermal conductivity w.r.t frequency

../../_images/fig_cumu_mfp4788.png

(b) Spectral and cumulative thermal conductivity w.r.t MFP

Force constants

../../_images/fig_fc211330.png

(a) Force constants w.r.t atomic distance

Summary

../../_images/fig_kappa9123.png

(a) Temperature-dependent lattice thermal conductivity

../../_images/fig_times19766.png

(b) Computation time