mp-28978/Ba2S3/anharm

Equation of state

../../_images/fig_bm5543.png

(a) Equation of state

Harmonic properties

../../_images/fig_bandos_pr11341.png

(a) Phonon dispersion with participation ratio and DOS

../../_images/fig_bandos15333.png

(b) Phonon dispersion and DOS

../../_images/fig_thermo11341.png

(c) Thermodynamic properties

Grüneisen parameters

../../_images/fig_gru_all4689.png

(a) Grüneisen parameters

../../_images/fig_gruneisen4689.png

(b) Phonon dispersion with Grüneisen parameters

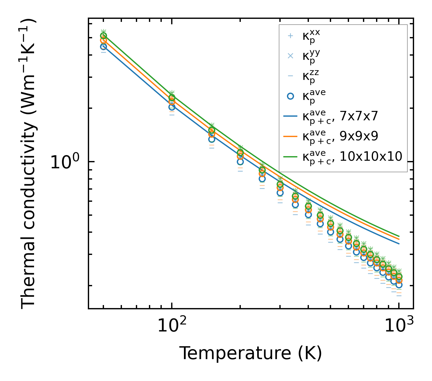
Thermal conductivity

3-phonon (LASSO) — q-mesh: 10x10x10, supercell: 2x2x1

../../_images/fig_kappa8850.png

(a) Temperature-dependent lattice thermal conductivity

../../_images/fig_kappa_vs_grain_size4747.png

(b) Peierls lattice thermal conductivity w.r.t grain size

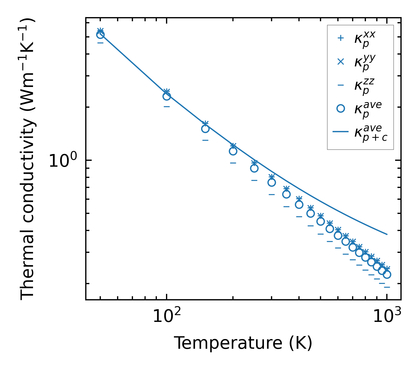
3-phonon (LASSO), supercell 3x3x1 — q-mesh: 10x10x10, supercell: 3x3x1

../../_images/fig_kappa8851.png

(a) Temperature-dependent lattice thermal conductivity

../../_images/fig_kappa_vs_grain_size4748.png

(b) Peierls lattice thermal conductivity w.r.t grain size

Phonon lifetime and scattering rates

../../_images/fig_lifetime4645.png

(a) Phonon lifetime due to phonon-phonon scattering

../../_images/fig_scat_rates4644.png

(b) Phonon scattering rates

Cumulative and spectral thermal conductivity

../../_images/fig_cumu_frequency4645.png

(a) Spectral and cumulative thermal conductivity w.r.t frequency

../../_images/fig_cumu_mfp4644.png

(b) Spectral and cumulative thermal conductivity w.r.t MFP

Force constants

../../_images/fig_fc211057.png

(a) Force constants w.r.t atomic distance

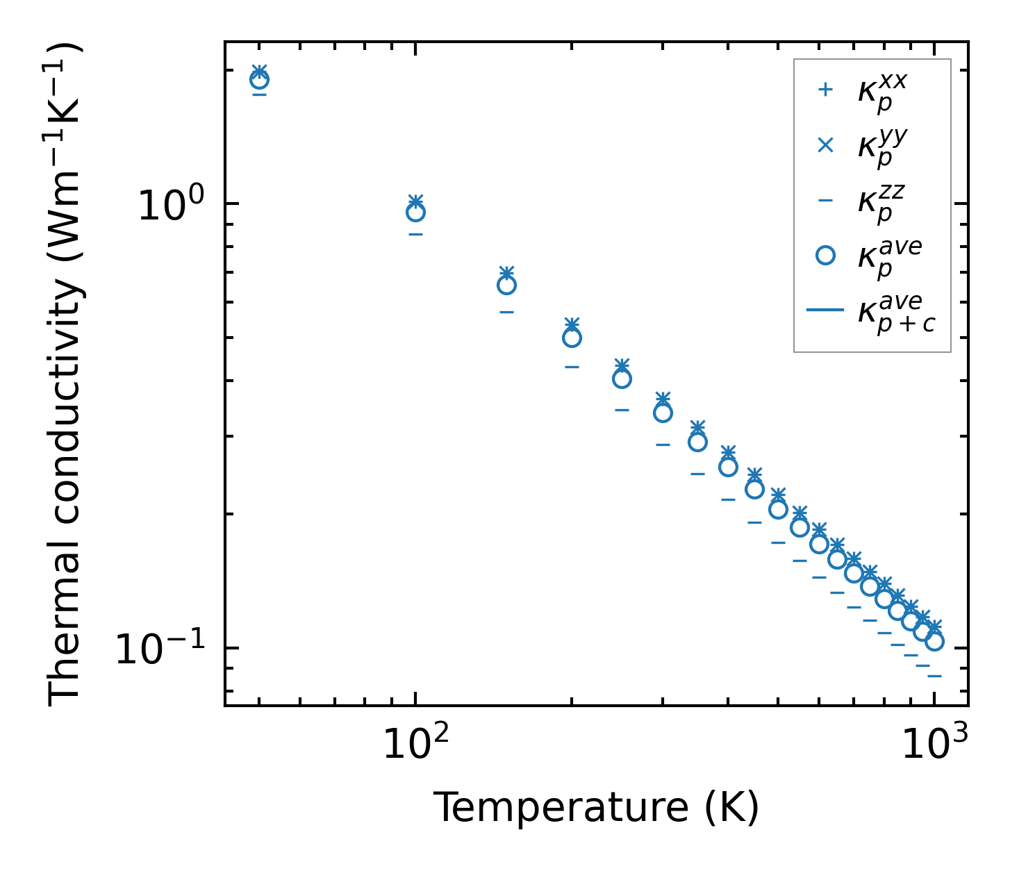
Summary

../../_images/fig_kappa8852.png

(a) Temperature-dependent lattice thermal conductivity

../../_images/fig_times19360.png

(b) Computation time