mp-28266/P2Pd/anharm

Harmonic properties

../../_images/fig_bandos_pr11783.png

(a) Phonon dispersion with participation ratio and DOS

../../_images/fig_thermo11783.png

(b) Thermodynamic properties

Grüneisen parameters

../../_images/fig_gru_all4905.png

(a) Grüneisen parameters

../../_images/fig_gruneisen4905.png

(b) Phonon dispersion with Grüneisen parameters

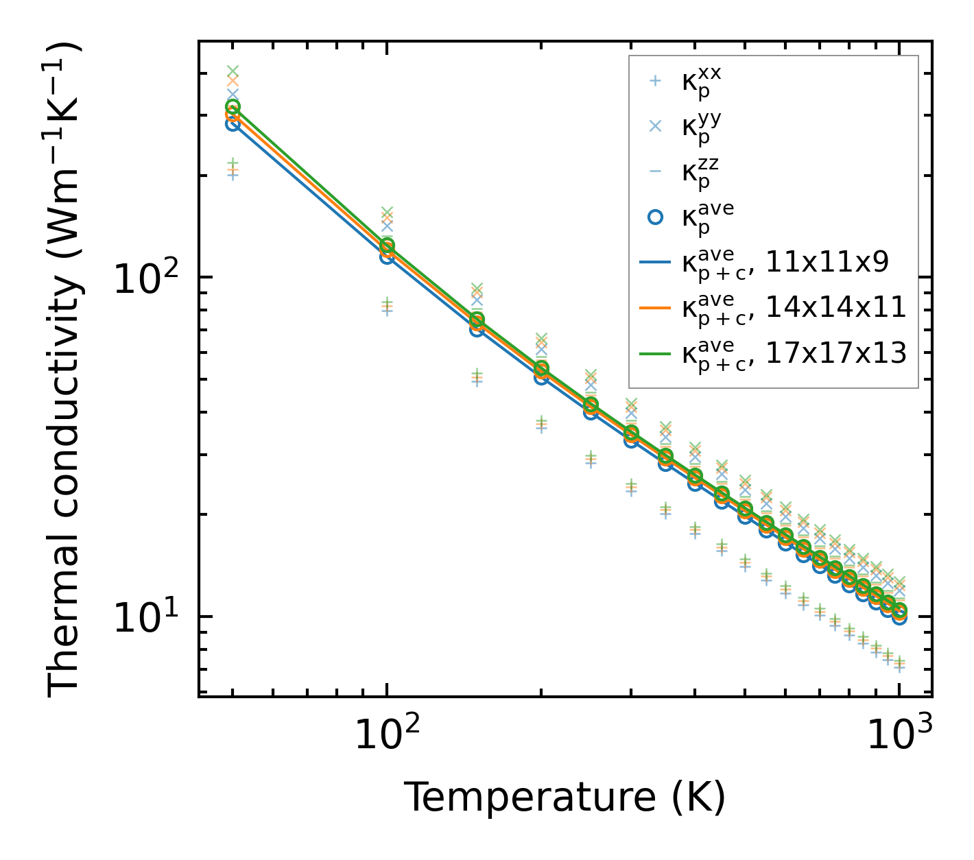
Thermal conductivity

3-phonon (LASSO) — q-mesh: 17x17x13, supercell: 2x3x2

../../_images/fig_kappa9245.png

(a) Temperature-dependent lattice thermal conductivity

../../_images/fig_kappa_vs_grain_size4962.png

(b) Peierls lattice thermal conductivity w.r.t grain size

Phonon lifetime and scattering rates

../../_images/fig_lifetime4856.png

(a) Phonon lifetime due to phonon-phonon scattering

../../_images/fig_scat_rates4855.png

(b) Phonon scattering rates

Cumulative and spectral thermal conductivity

../../_images/fig_cumu_frequency4856.png

(a) Spectral and cumulative thermal conductivity w.r.t frequency

../../_images/fig_cumu_mfp4855.png

(b) Spectral and cumulative thermal conductivity w.r.t MFP

Force constants

../../_images/fig_fc211494.png

(a) Force constants w.r.t atomic distance

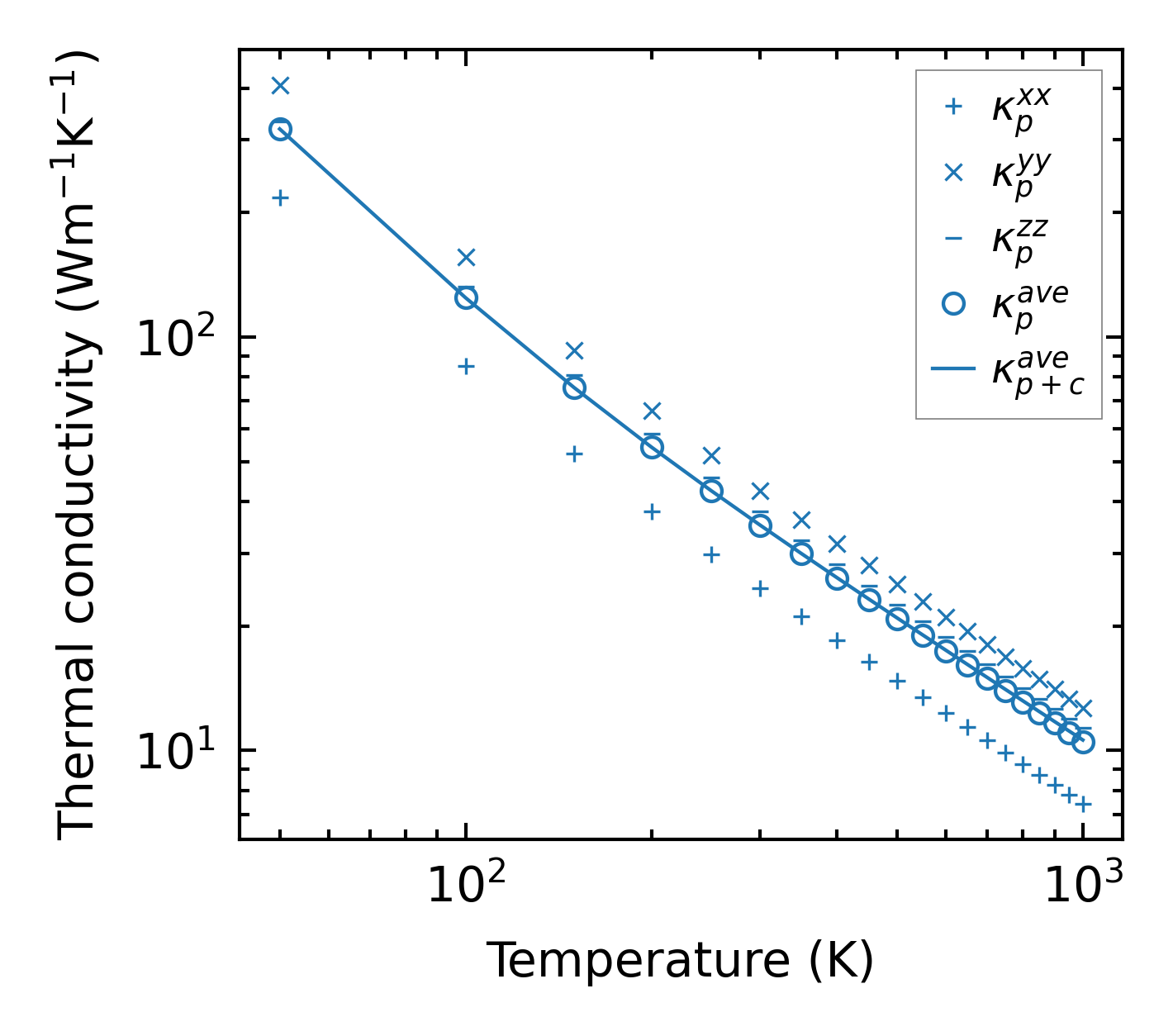
Summary

../../_images/fig_kappa9246.png

(a) Temperature-dependent lattice thermal conductivity

../../_images/fig_times20000.png

(b) Computation time