mp-28084/Rb2PdBr6/anharm

Harmonic properties

../../_images/fig_bandos_pr11682.png

(a) Phonon dispersion with participation ratio and DOS

../../_images/fig_thermo11682.png

(b) Thermodynamic properties

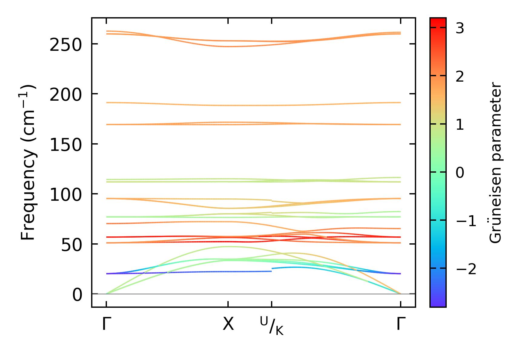
Grüneisen parameters

../../_images/fig_gru_all4878.png

(a) Grüneisen parameters

../../_images/fig_gruneisen4878.png

(b) Phonon dispersion with Grüneisen parameters

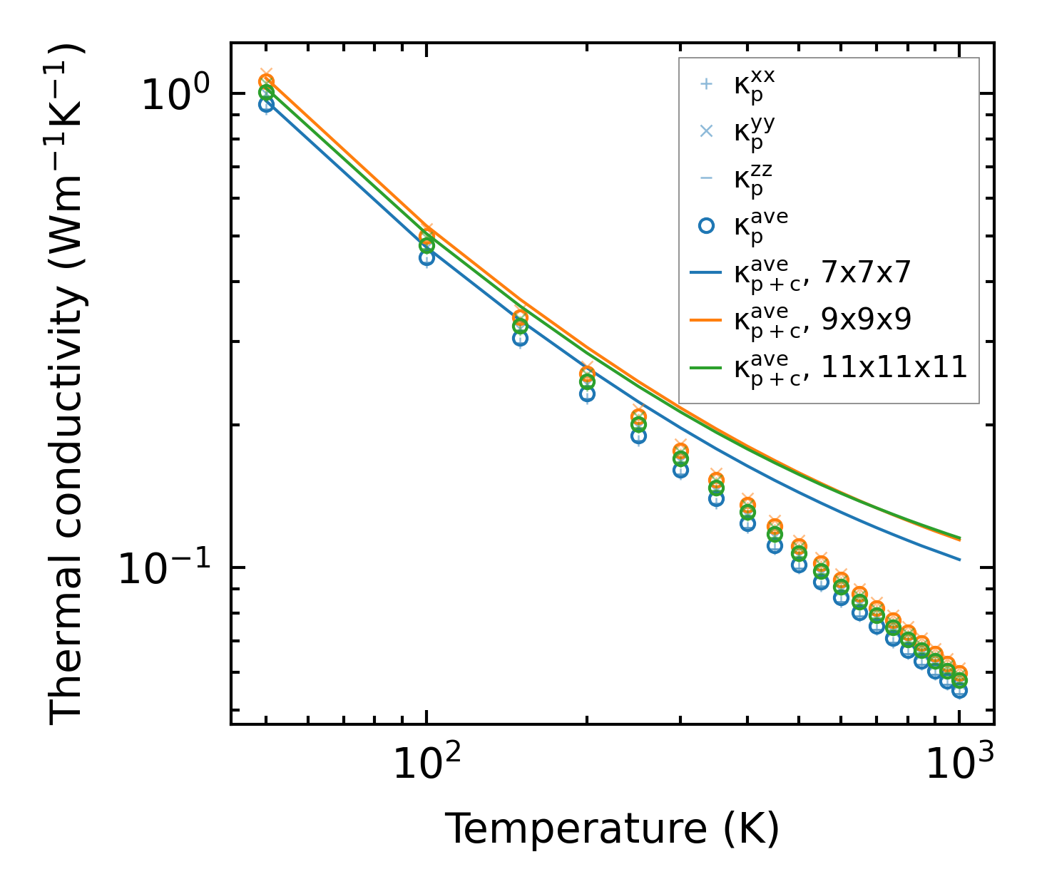
Thermal conductivity

3-phonon — q-mesh: 11x11x11, supercell: 1x1x1

../../_images/fig_kappa9197.png

(a) Temperature-dependent lattice thermal conductivity

../../_images/fig_kappa_vs_grain_size4934.png

(b) Peierls lattice thermal conductivity w.r.t grain size

Phonon lifetime and scattering rates

../../_images/fig_lifetime4829.png

(a) Phonon lifetime due to phonon-phonon scattering

../../_images/fig_scat_rates4828.png

(b) Phonon scattering rates

Cumulative and spectral thermal conductivity

../../_images/fig_cumu_frequency4829.png

(a) Spectral and cumulative thermal conductivity w.r.t frequency

../../_images/fig_cumu_mfp4828.png

(b) Spectral and cumulative thermal conductivity w.r.t MFP

Force constants

../../_images/fig_fc3289.png

(a) Force constants w.r.t atomic distance

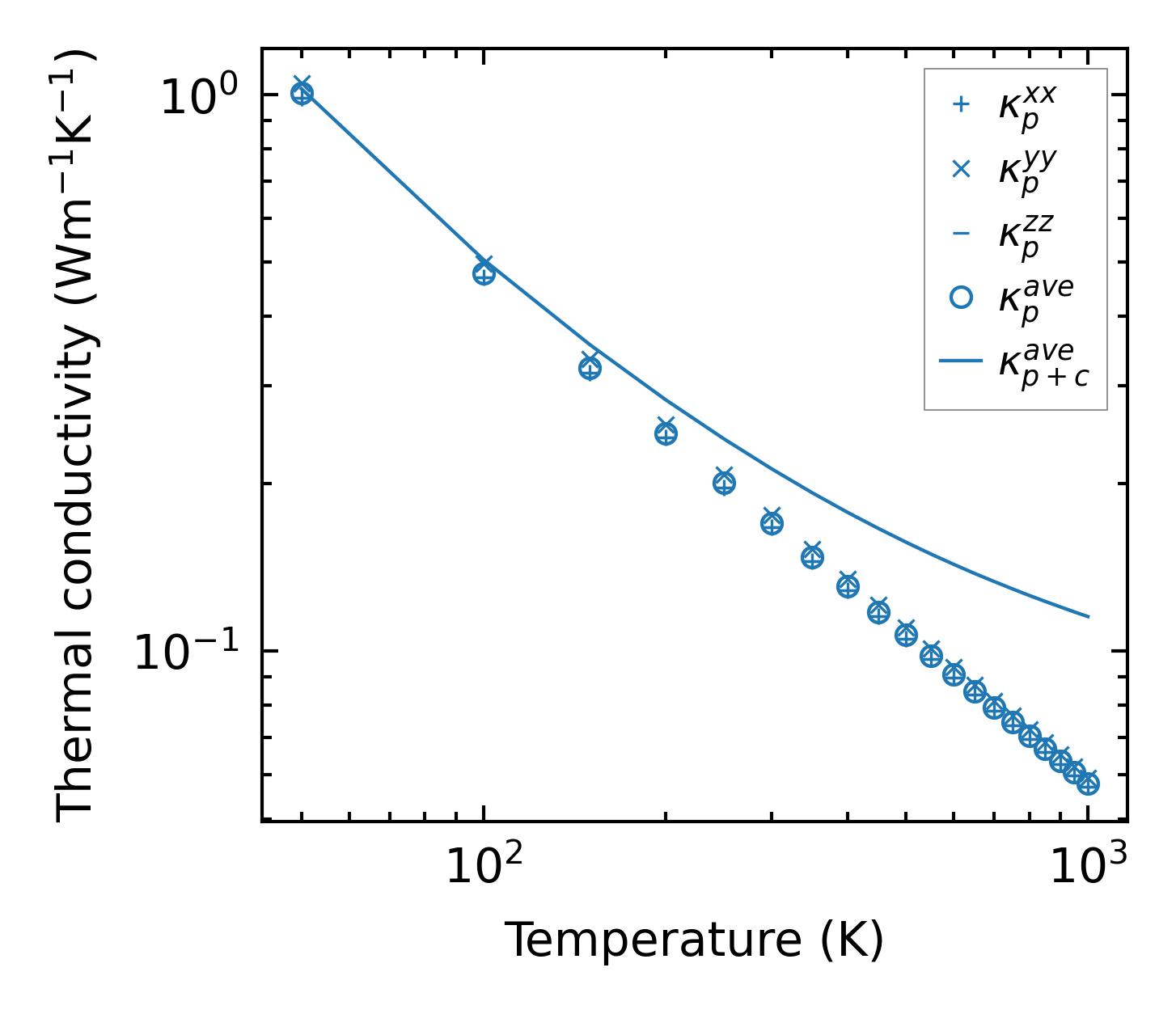
Summary

../../_images/fig_kappa9198.png

(a) Temperature-dependent lattice thermal conductivity

../../_images/fig_times19863.png

(b) Computation time