mp-28830/Na2ZnBr4/anharm

Harmonic properties

../../_images/fig_bandos_pr11649.png

(a) Phonon dispersion with participation ratio and DOS

../../_images/fig_thermo11649.png

(b) Thermodynamic properties

Grüneisen parameters

../../_images/fig_gru_all4853.png

(a) Grüneisen parameters

../../_images/fig_gruneisen4853.png

(b) Phonon dispersion with Grüneisen parameters

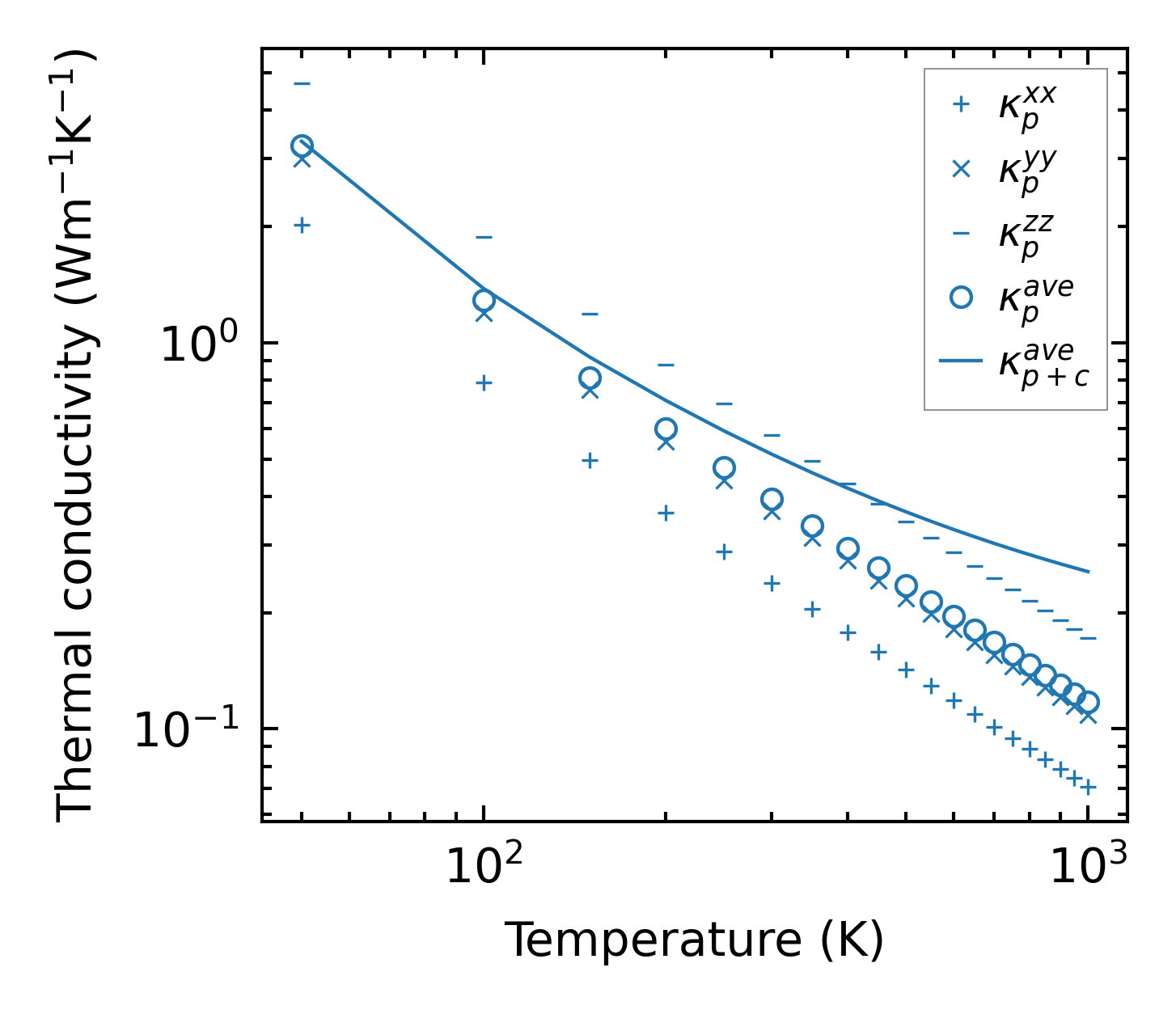
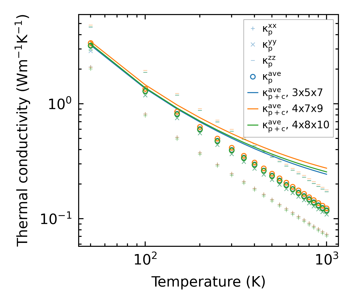
Thermal conductivity

3-phonon (LASSO) — q-mesh: 4x8x10, supercell: 1x2x2

../../_images/fig_kappa9150.png

(a) Temperature-dependent lattice thermal conductivity

../../_images/fig_kappa_vs_grain_size4909.png

(b) Peierls lattice thermal conductivity w.r.t grain size

Phonon lifetime and scattering rates

../../_images/fig_lifetime4804.png

(a) Phonon lifetime due to phonon-phonon scattering

../../_images/fig_scat_rates4803.png

(b) Phonon scattering rates

Cumulative and spectral thermal conductivity

../../_images/fig_cumu_frequency4804.png

(a) Spectral and cumulative thermal conductivity w.r.t frequency

../../_images/fig_cumu_mfp4803.png

(b) Spectral and cumulative thermal conductivity w.r.t MFP

Force constants

../../_images/fig_fc211361.png

(a) Force constants w.r.t atomic distance

Summary

../../_images/fig_kappa9151.png

(a) Temperature-dependent lattice thermal conductivity

../../_images/fig_times19815.png

(b) Computation time