mp-28324/Sr3In2P4/anharm

Harmonic properties

../../_images/fig_bandos_pr11803.png

(a) Phonon dispersion with participation ratio and DOS

../../_images/fig_thermo11803.png

(b) Thermodynamic properties

Grüneisen parameters

../../_images/fig_gru_all4918.png

(a) Grüneisen parameters

../../_images/fig_gruneisen4918.png

(b) Phonon dispersion with Grüneisen parameters

Thermal conductivity

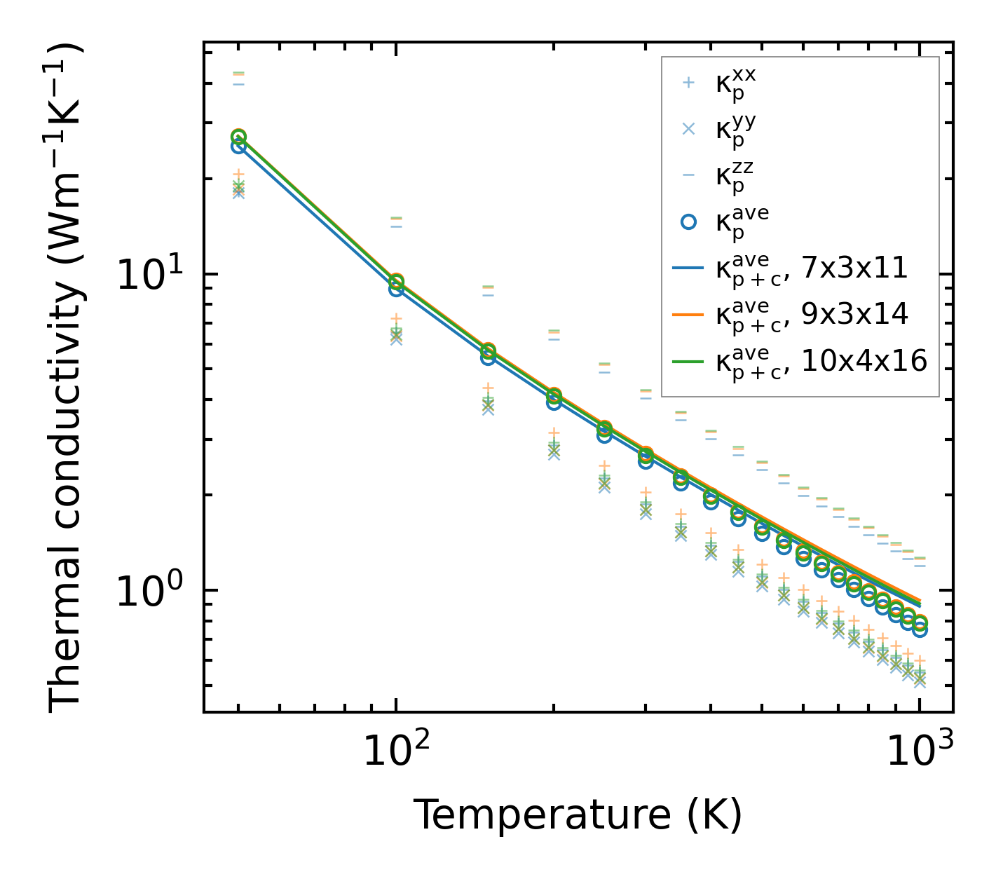
3-phonon (LASSO) — q-mesh: 10x4x16, supercell: 2x1x4

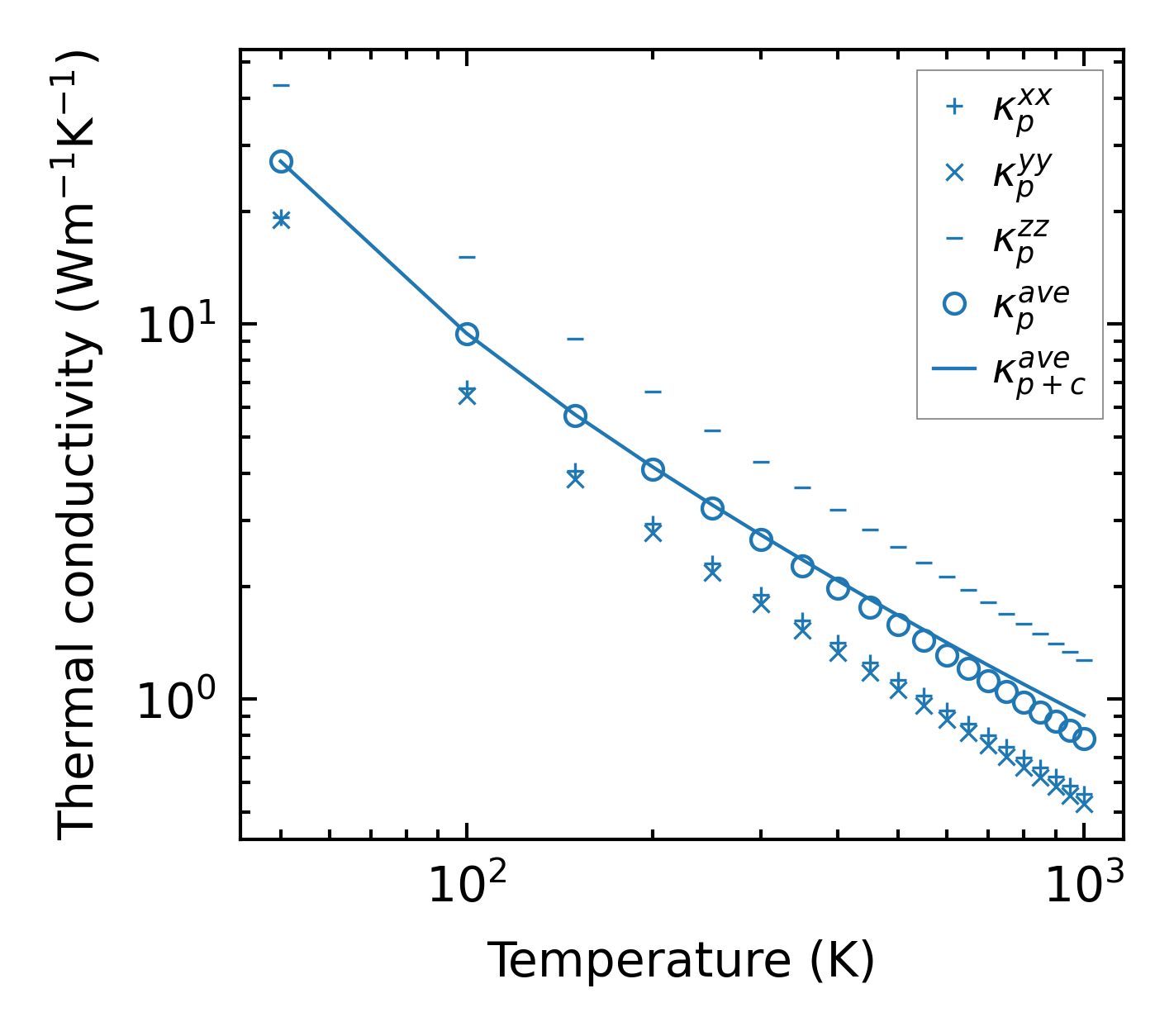
../../_images/fig_kappa9271.png

(a) Temperature-dependent lattice thermal conductivity

../../_images/fig_kappa_vs_grain_size4975.png

(b) Peierls lattice thermal conductivity w.r.t grain size

Phonon lifetime and scattering rates

../../_images/fig_lifetime4869.png

(a) Phonon lifetime due to phonon-phonon scattering

../../_images/fig_scat_rates4868.png

(b) Phonon scattering rates

Cumulative and spectral thermal conductivity

../../_images/fig_cumu_frequency4869.png

(a) Spectral and cumulative thermal conductivity w.r.t frequency

../../_images/fig_cumu_mfp4868.png

(b) Spectral and cumulative thermal conductivity w.r.t MFP

Force constants

../../_images/fig_fc211514.png

(a) Force constants w.r.t atomic distance

Summary

../../_images/fig_kappa9272.png

(a) Temperature-dependent lattice thermal conductivity

../../_images/fig_times20028.png

(b) Computation time