mp-28679-2/NaGaBr4/anharm

Equation of state

../../_images/fig_bm5658.png

(a) Equation of state

Harmonic properties

../../_images/fig_bandos_pr11584.png

(a) Phonon dispersion with participation ratio and DOS

../../_images/fig_thermo11584.png

(b) Thermodynamic properties

Grüneisen parameters

../../_images/fig_gru_all4816.png

(a) Grüneisen parameters

../../_images/fig_gruneisen4816.png

(b) Phonon dispersion with Grüneisen parameters

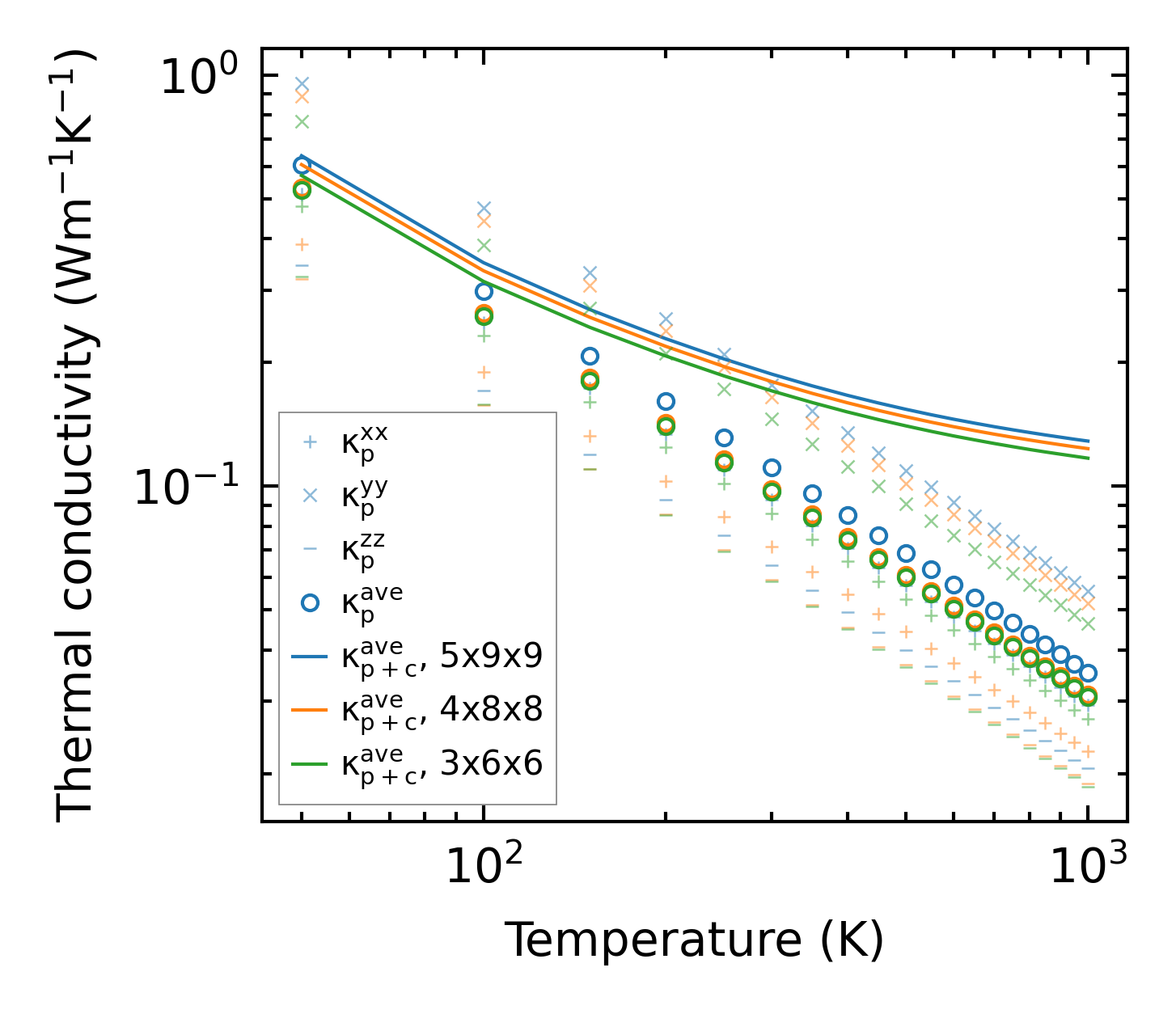
Thermal conductivity

3-phonon (LASSO) — q-mesh: 5x9x9, supercell: 1x2x2

../../_images/fig_kappa9084.png

(a) Temperature-dependent lattice thermal conductivity

../../_images/fig_kappa_vs_grain_size4874.png

(b) Peierls lattice thermal conductivity w.r.t grain size

Force constants

../../_images/fig_fc211296.png

(a) Force constants w.r.t atomic distance

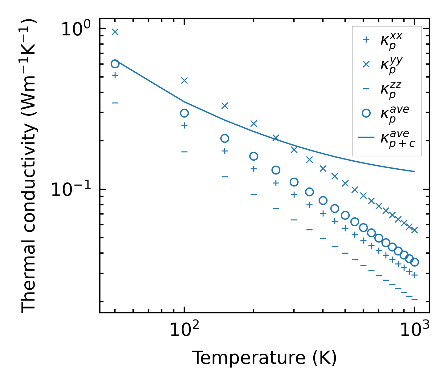
Summary

../../_images/fig_kappa9085.png

(a) Temperature-dependent lattice thermal conductivity

../../_images/fig_times19726.png

(b) Computation time