mp-28859/K2HgS2/anharm

Harmonic properties

../../_images/fig_bandos_pr11656.png

(a) Phonon dispersion with participation ratio and DOS

../../_images/fig_thermo11656.png

(b) Thermodynamic properties

Grüneisen parameters

../../_images/fig_gru_all4860.png

(a) Grüneisen parameters

../../_images/fig_gruneisen4860.png

(b) Phonon dispersion with Grüneisen parameters

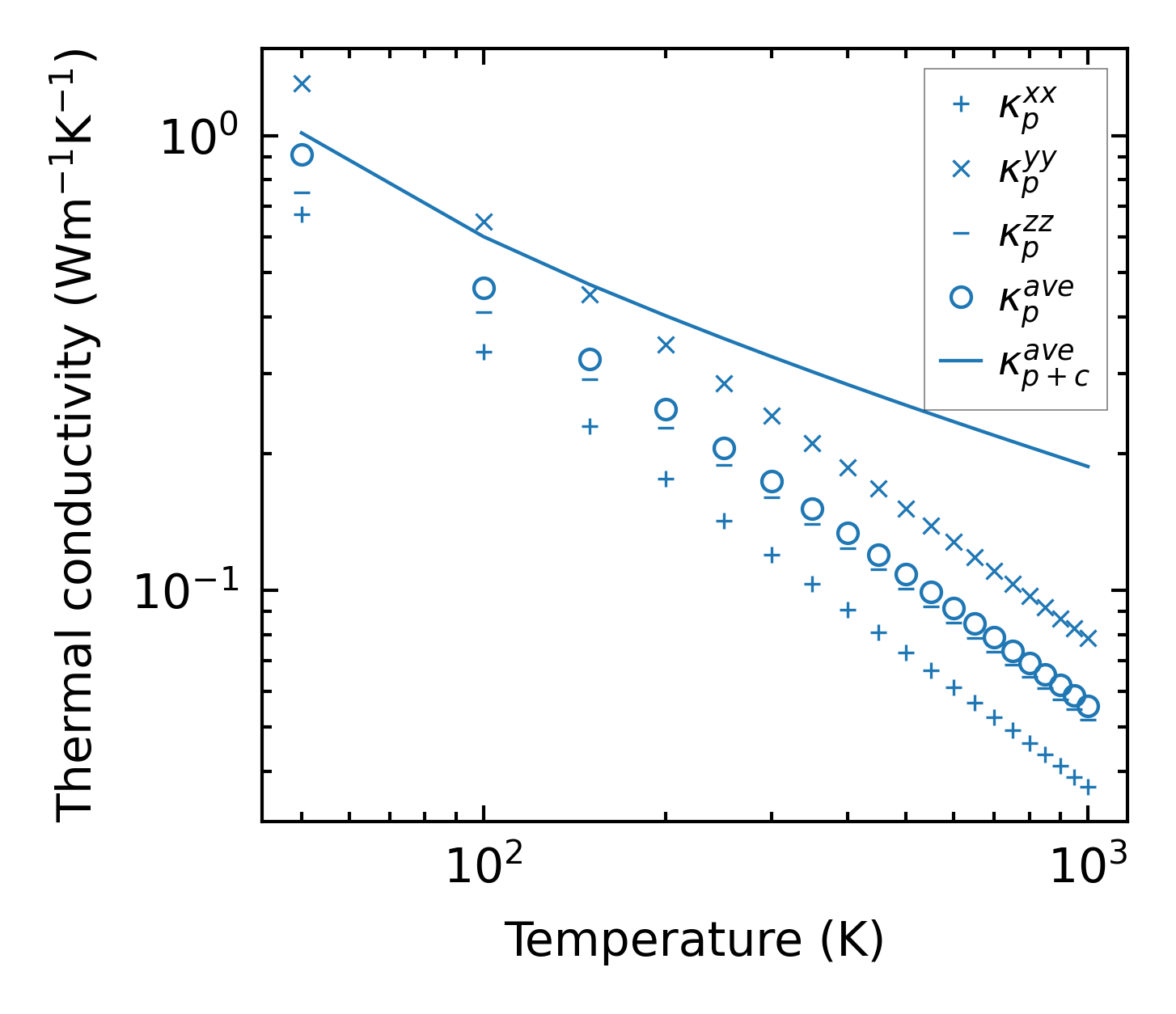
Thermal conductivity

3-phonon (LASSO) — q-mesh: 6x8x10, supercell: 1x2x2

../../_images/fig_kappa9162.png

(a) Temperature-dependent lattice thermal conductivity

../../_images/fig_kappa_vs_grain_size4916.png

(b) Peierls lattice thermal conductivity w.r.t grain size

Phonon lifetime and scattering rates

../../_images/fig_lifetime4811.png

(a) Phonon lifetime due to phonon-phonon scattering

../../_images/fig_scat_rates4810.png

(b) Phonon scattering rates

Cumulative and spectral thermal conductivity

../../_images/fig_cumu_frequency4811.png

(a) Spectral and cumulative thermal conductivity w.r.t frequency

../../_images/fig_cumu_mfp4810.png

(b) Spectral and cumulative thermal conductivity w.r.t MFP

Force constants

../../_images/fig_fc211368.png

(a) Force constants w.r.t atomic distance

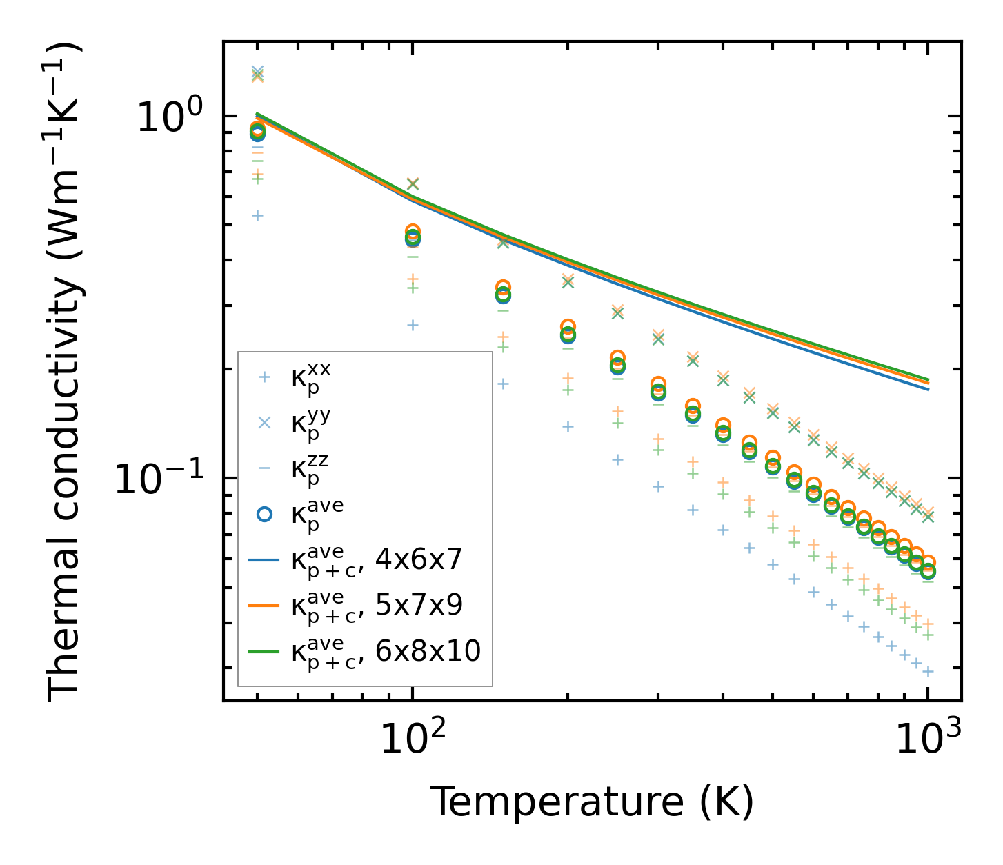
Summary

../../_images/fig_kappa9163.png

(a) Temperature-dependent lattice thermal conductivity

../../_images/fig_times19829.png

(b) Computation time