mp-28593/Li3BrO/anharm

Harmonic properties

../../_images/fig_bandos_pr11556.png

(a) Phonon dispersion with participation ratio and DOS

../../_images/fig_thermo11556.png

(b) Thermodynamic properties

Grüneisen parameters

../../_images/fig_gru_all4801.png

(a) Grüneisen parameters

../../_images/fig_gruneisen4801.png

(b) Phonon dispersion with Grüneisen parameters

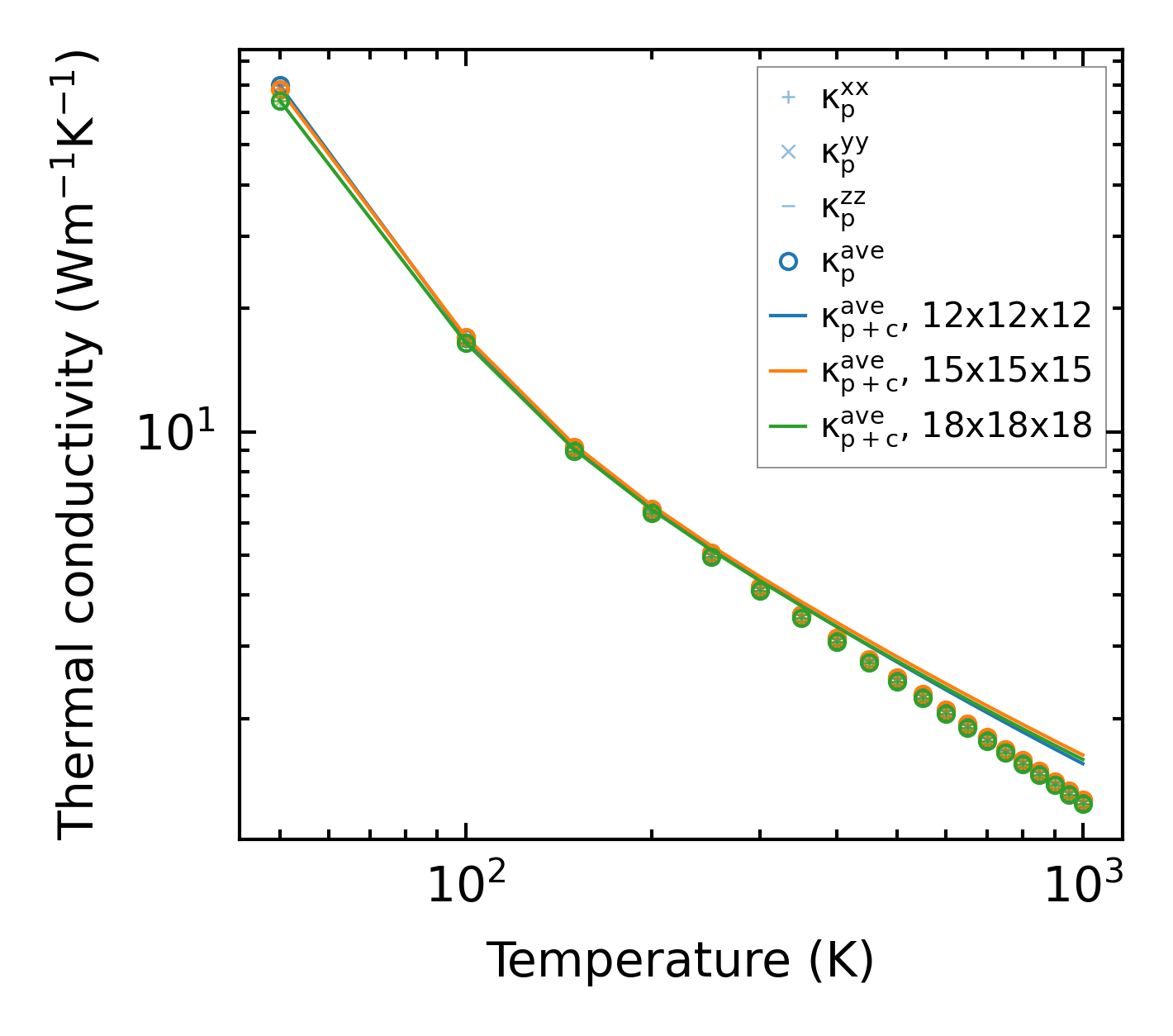
Thermal conductivity

3-phonon — q-mesh: 18x18x18, supercell: 3x3x3

../../_images/fig_kappa9057.png

(a) Temperature-dependent lattice thermal conductivity

../../_images/fig_kappa_vs_grain_size4859.png

(b) Peierls lattice thermal conductivity w.r.t grain size

Phonon lifetime and scattering rates

../../_images/fig_lifetime4755.png

(a) Phonon lifetime due to phonon-phonon scattering

../../_images/fig_scat_rates4754.png

(b) Phonon scattering rates

Cumulative and spectral thermal conductivity

../../_images/fig_cumu_frequency4755.png

(a) Spectral and cumulative thermal conductivity w.r.t frequency

../../_images/fig_cumu_mfp4754.png

(b) Spectral and cumulative thermal conductivity w.r.t MFP

Force constants

../../_images/fig_fc3287.png

(a) Force constants w.r.t atomic distance

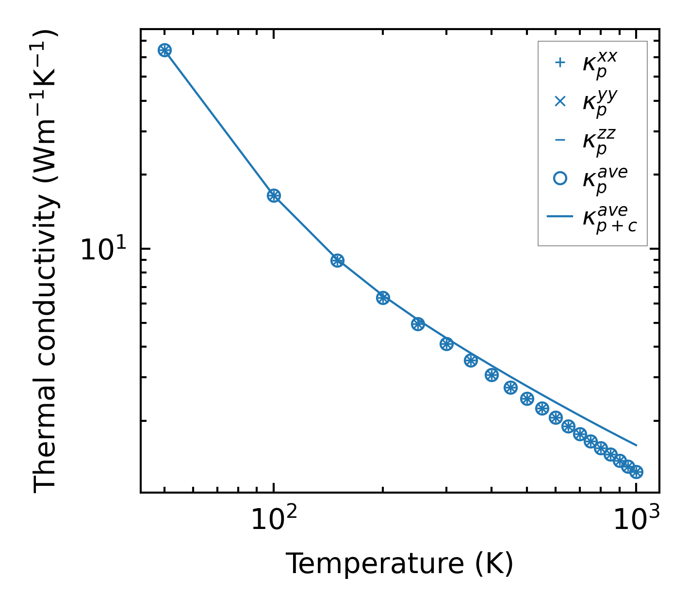
Summary

../../_images/fig_kappa9058.png

(a) Temperature-dependent lattice thermal conductivity

../../_images/fig_times19683.png

(b) Computation time