mp-28807-2/Na7Cu12S10/anharm

Equation of state

../../_images/fig_bm5685.png

(a) Equation of state

Harmonic properties

../../_images/fig_bandos_pr11642.png

(a) Phonon dispersion with participation ratio and DOS

../../_images/fig_thermo11642.png

(b) Thermodynamic properties

Grüneisen parameters

../../_images/fig_gru_all4848.png

(a) Grüneisen parameters

../../_images/fig_gruneisen4848.png

(b) Phonon dispersion with Grüneisen parameters

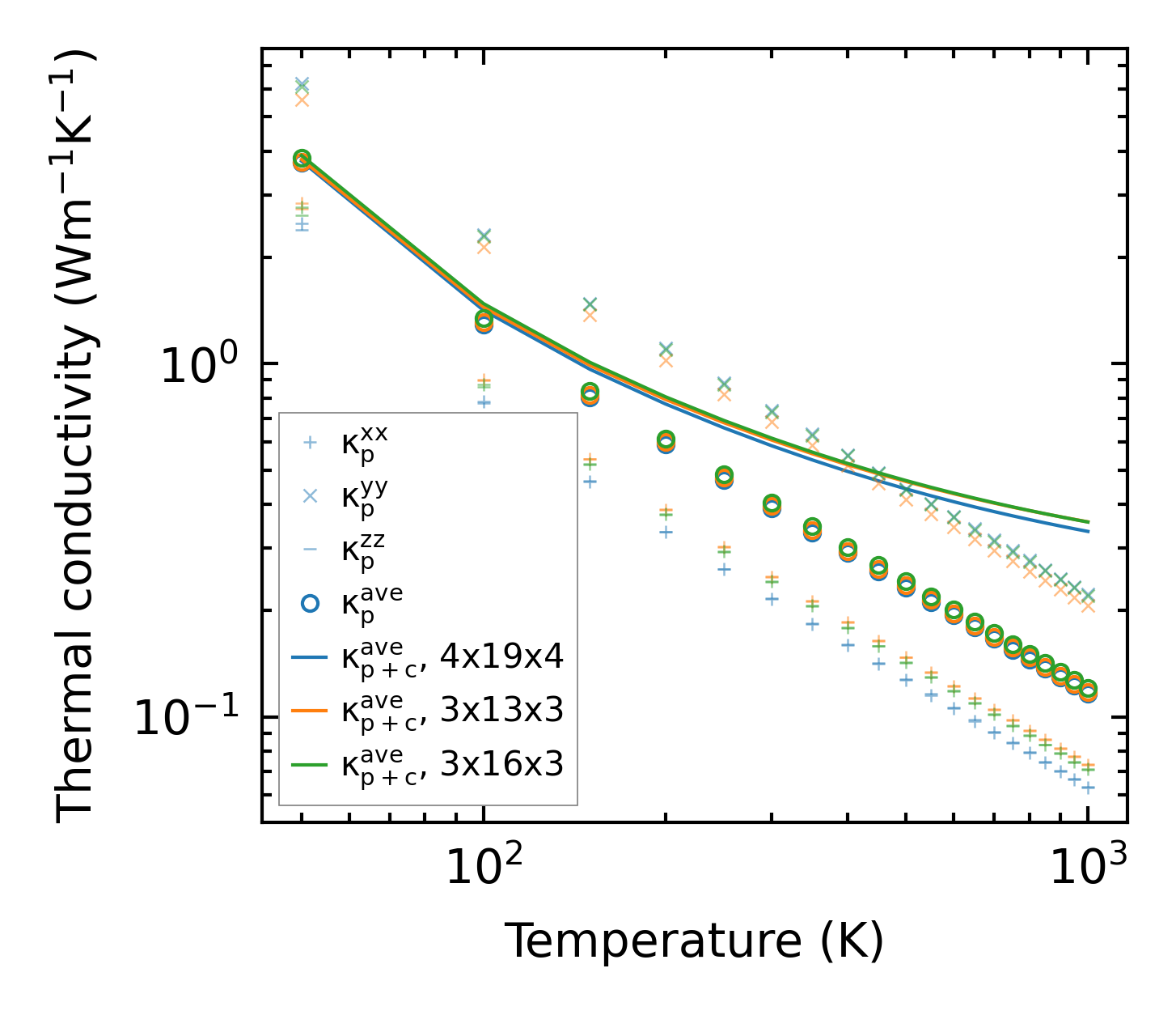
Thermal conductivity

3-phonon (LASSO) — q-mesh: 4x19x4, supercell: 1x2x1

../../_images/fig_kappa9140.png

(a) Temperature-dependent lattice thermal conductivity

../../_images/fig_kappa_vs_grain_size4904.png

(b) Peierls lattice thermal conductivity w.r.t grain size

Phonon lifetime and scattering rates

../../_images/fig_lifetime4799.png

(a) Phonon lifetime due to phonon-phonon scattering

../../_images/fig_scat_rates4798.png

(b) Phonon scattering rates

Cumulative and spectral thermal conductivity

../../_images/fig_cumu_frequency4799.png

(a) Spectral and cumulative thermal conductivity w.r.t frequency

../../_images/fig_cumu_mfp4798.png

(b) Spectral and cumulative thermal conductivity w.r.t MFP

Force constants

../../_images/fig_fc211354.png

(a) Force constants w.r.t atomic distance

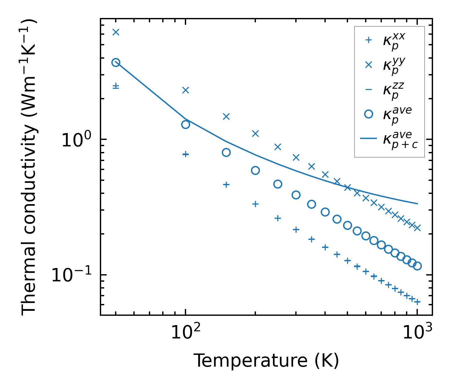
Summary

../../_images/fig_kappa9141.png

(a) Temperature-dependent lattice thermal conductivity

../../_images/fig_times19806.png

(b) Computation time