mp-28383/KNaS/anharm

Harmonic properties

../../_images/fig_bandos_pr11833.png

(a) Phonon dispersion with participation ratio and DOS

../../_images/fig_thermo11833.png

(b) Thermodynamic properties

Grüneisen parameters

../../_images/fig_gru_all4929.png

(a) Grüneisen parameters

../../_images/fig_gruneisen4929.png

(b) Phonon dispersion with Grüneisen parameters

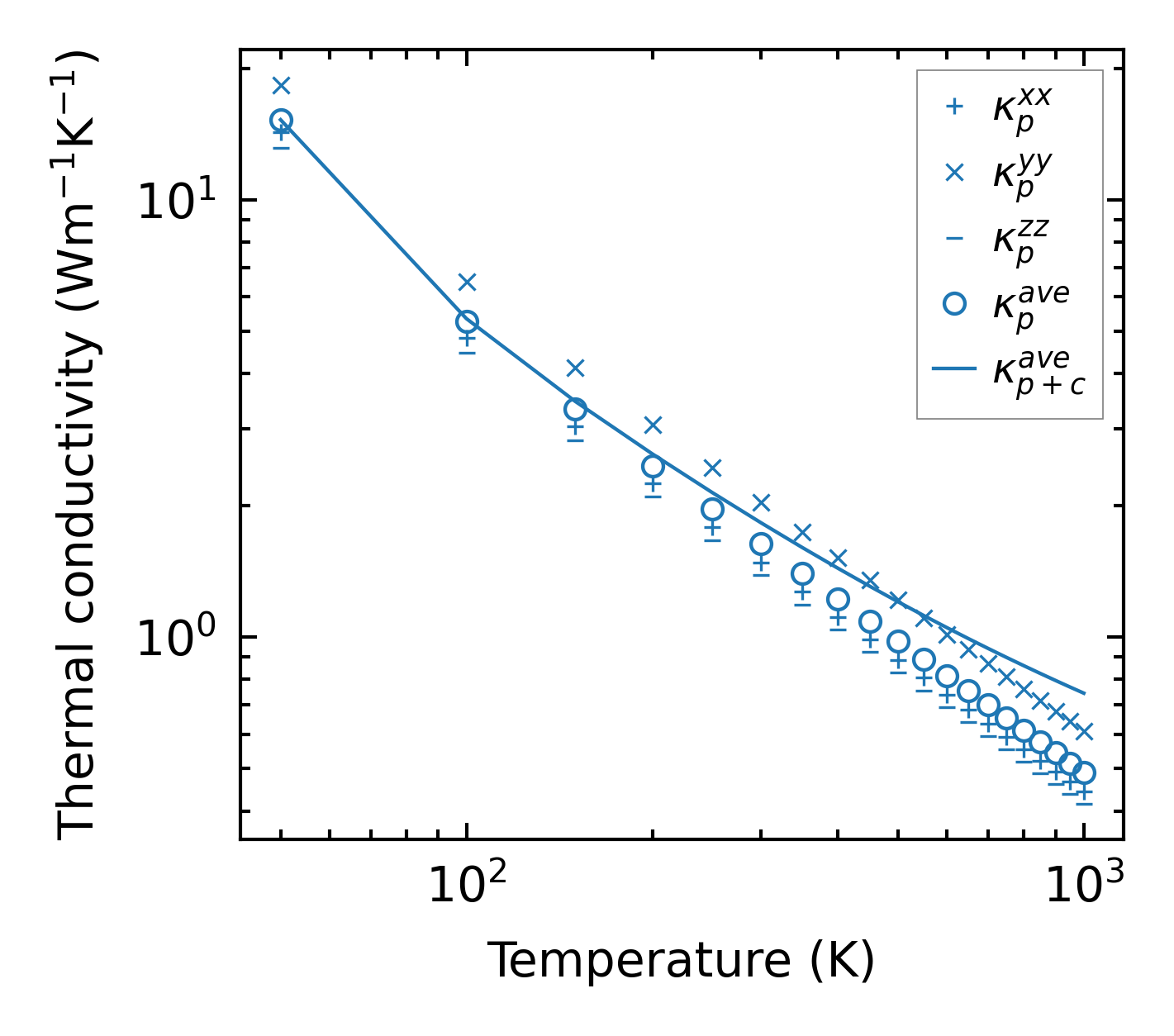
Thermal conductivity

3-phonon (LASSO) — q-mesh: 9x15x8, supercell: 2x3x2

../../_images/fig_kappa9294.png

(a) Temperature-dependent lattice thermal conductivity

../../_images/fig_kappa_vs_grain_size4987.png

(b) Peierls lattice thermal conductivity w.r.t grain size

Phonon lifetime and scattering rates

../../_images/fig_lifetime4880.png

(a) Phonon lifetime due to phonon-phonon scattering

../../_images/fig_scat_rates4879.png

(b) Phonon scattering rates

Cumulative and spectral thermal conductivity

../../_images/fig_cumu_frequency4880.png

(a) Spectral and cumulative thermal conductivity w.r.t frequency

../../_images/fig_cumu_mfp4879.png

(b) Spectral and cumulative thermal conductivity w.r.t MFP

Force constants

../../_images/fig_fc211544.png

(a) Force constants w.r.t atomic distance

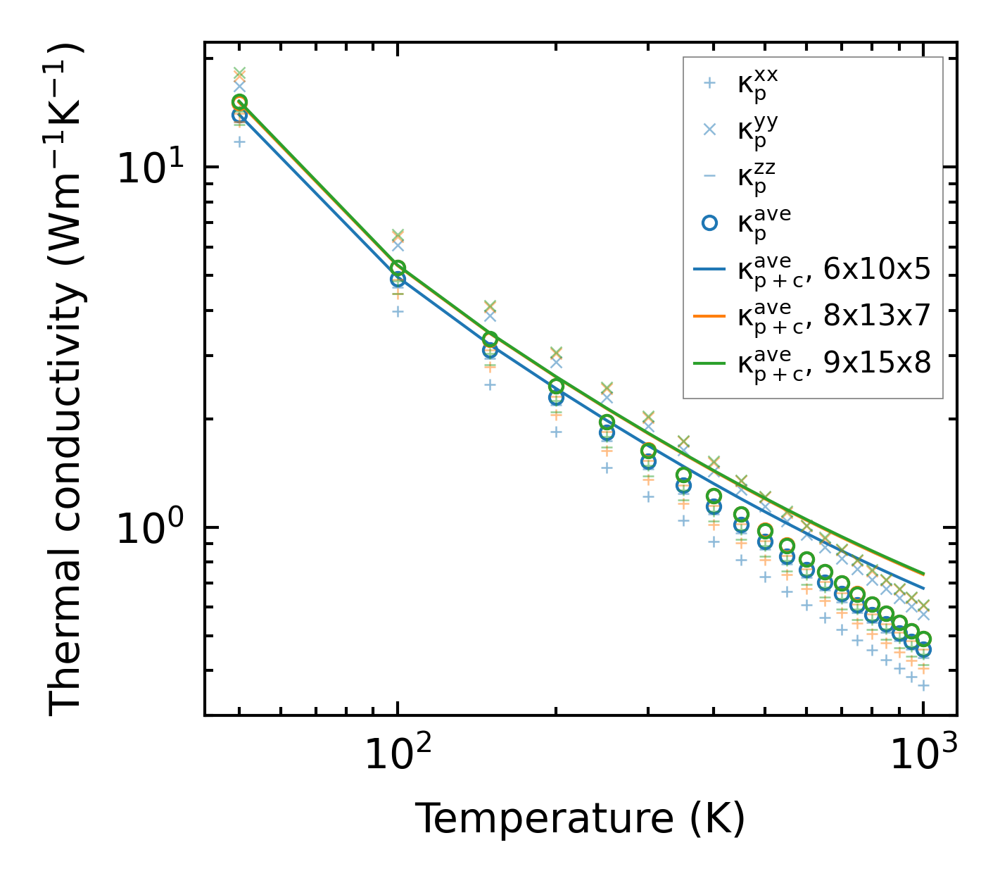
Summary

../../_images/fig_kappa9295.png

(a) Temperature-dependent lattice thermal conductivity

../../_images/fig_times20076.png

(b) Computation time